Рассмотрим систему, в которой некоррелированный внешний шум присутствует только на ее выходе (рисунок 2.3). Предполагаем, что все процессы в системе относятся к стационарным, а их средние значения равны нулю
.
Наблюдаемая реализация выходного процесса примет вид
, (2.28)
где
– ненаблюдаемый истинный выходной процесс;
– ненаблюдаемый некоррелированный выходной шум.

– наблюдаемый входной процесс;
– наблюдаемый выходной процесс;
– ненаблюдаемый истинный выходной процесс;
– ненаблюдаемый выходной шум
Рисунок 2.3 – Система с внешним шумом на выходе
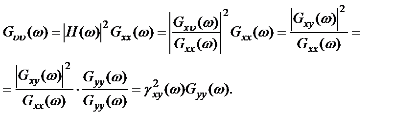
Произведение мгновенных значений наблюдаемого выходного процесса в два различных момента времени равно

,
откуда после усреднения получим следующее соотношение для ковариационных функций:
. (2.29)
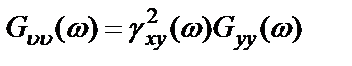
В силу не коррелированности шума имеем
. (2.30)
В результате преобразования Фурье над выражением (2.29) с учетом (2.30) наблюдаемый выходной спектр мощности системы примет вид суммы идеального линейного выхода
, порожденного преобразованием
посредством
, и шума на выходе
, т.е.
, (2.31)
где
– спектр мощности истинного (полезного) выходного процесса.
Для взаимной спектральной плотности наблюдаемых процессов на входе и выходе аналогично получим:
,
,
, (2.32)
где
– взаимная спектральная плотность истинных процессов на входе и выходе системы.
Таким образом, согласно выражениям (2.31), (2.32), наблюдаемый выходной спектр мощности
дает смещенную оценку истинного выходного спектра
, а наблюдаемый взаимный спектр
– несмещенную оценку
.
Учитывая это, можно рассчитать спектральную плотность ненаблюдаемого истинного выходного процесса
через регистрируемые процессы:

Произведение в правой части равенства
(2.33)
носит название когерентного спектра выходного процесса.
Соотношения (2.31)-(2.33) являются основными спектральными соотношениями для системы с внешним некоррелированным шумом на выходе.
Согласно выражению (2.33), функцию когерентности можно истолковать как долю спектра истинного выходного процесса
в наблюдаемом выходном спектре:
. (2.34)
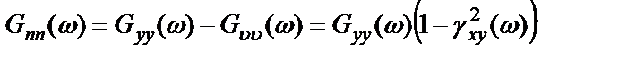
Выходной спектр шума тогда равен
(2.35)
и может быть интерпретирован как часть выходного спектра, не связанная с линейным преобразованием процесса
на частоте
.
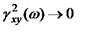
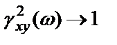
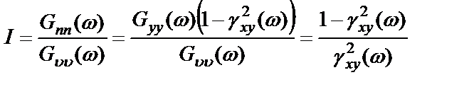
Соотношения (2.34), (2.35) позволяют найти отношение шума к истинному сигналу на выходе системы:
, (2.36)
откуда следует, что
при
и
при
.






