Пусть источник излучает равномерно во все стороны энергию, которая измеряется в двух точках, разделенных расстоянием
(рисунок 3.3).

– угол падения;
– расстояние между приемниками
, 
Рисунок 3.3 – Определение угла падения
Если скорость распространения
энергии известна, то запаздывание
между двумя выходными сигналами
,
входит в приближенное соотношение (при расстоянии до источника в 10 раз большем, чем расстояние между приемниками)
, (3.9)
откуда угол падения энергии определяется из равенства
. (3.10)
В свою очередь запаздывание
двух выходных сигналов
,
, вызванных одним входным сигналом
, можно вычислить, исходя из взаимной ковариационной функции или взаимной спектральной плотности
,
(п.3.2).
Конечно, источник энергии не лежит на линии, определяемой углом падения
, а находится на гиперболической поверхности. Точное определение местонахождения источника в трехмерном пространстве потребует подобных измерений угла
в трех ортогональных парах выходных точек.
На практике применение полученных результатов к локализации ненаблюдаемого источника наталкивается на ряд трудностей. Рассмотрим некоторые из них.
|
|
|
1. Распределенность источника. Если размеры фактического источника велики по сравнению с расстоянием до него от точек наблюдения выходных процессов и источник не является полностью когерентным, то он будет воспринят на выходах как набор некоррелированных источников. Это приведет к искажениям в определении фазы
.
2. Искажение выходных сигналов шумом. Присутствие статистически независимого (внешнего) шума в измерениях выходных сигналов
и
(что типично для инструментального шума) не изменяет фазы
. В то же время шум в выходных сигналах, коррелированный с ними, как правило, данные фазовых измерений искажает. Наиболее распространенный вид искажающего шума – диффузный шум, порожденный большим числом независимых источников шума, окружающих точки наблюдения выходных процессов
и
и воздействующих на них.
3. Эффекты реверберации и рассеяния. Реверберация сказывается в том случае, когда приемники сигнала окружены отражающими поверхностями, многократные отражения от которых приводят к сильному искажению сигналов
и
. Реверберация искажает фазовый угол между двумя наблюдениями
и
, поскольку приемники выходных сигналов регистрируют волны, приходящие с направлений, отличных от направления на источник.
Наибольший вред вносят отражения от поверхностей, находящихся позади приемников выходных сигналов. Поэтому путем установки поглотителей позади приемников сигналов можно свести реверберацию к приемлемому уровню.
|
|
|
Помимо реверберации трудности может вызвать появление на пути между входом и выходами каких-либо препятствий или неоднородностей, вызывающих рассеяние энергии. Это также отрицательно сказывается на точности измерений фазы.
4. Фазовая нестабильность аппаратуры измерения. Тщательная калибровка оборудования, предназначенного для получения и анализа данных, очень важна при обработке любых сигналов. Однако при решении задач локализации источника особое значение имеет калибровка оборудования по фазе, поскольку именно данные о фазе представляют в этом случае первостепенный интерес.
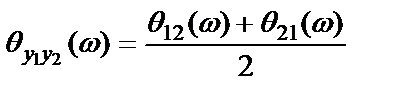
Ошибки при измерении фазового угла между сигналами
и
могут появиться в любой части системы, предназначенной для получения и анализа данных, включая датчики, оборудование для предварительной обработки информации, аппаратуру записи и воспроизведения данных и т.д. К серьезным последствиям приводит относительный фазовый сдвиг между двумя инструментальными каналами, определяющими сигналы
и
.
Для получения правильных результатов можно повторить измерения, поменяв датчики местами. Тогда истинное значение фазового угла между сигналами
и
определится как
, (3.11)
где
– результаты измерений фазового угла
при различном положении датчиков.
Контрольные вопросы
1. Запишите основные спектральные соотношения для системы с одним входом и несколькими выходами.
2. С какой целью может использоваться информация о взаимной спектральной плотности выходных процессов двух различных трактов системы?
3. Какие существуют способы определения запаздывания между двумя наблюдаемыми процессами?
4. Сформулируйте задачу локализации ненаблюдаемого источника энергии.
5. К каким искажениям в измерениях приводит распределенность источника в пространстве?
6. Что такое эффект реверберации и как можно его уменьшить?
7. Укажите способ устранения относительного фазового сдвига между двумя инструментальными каналами.
Литература
1. Сергиенко, А.Б. Цифровая обработка сигналов / А.Б. Сергиенко. – М: Питер, 2002.– 604 с.
2. Садовский, Г.А. Теоретические основы информационно-измерительной техники / Г.А. Садовский. – М.: Высшая школа, 2008. – 480 с.
3. Бендат, Д. Применение корреляционного и спектрального анализа / Д. Бендат, А. Пирсол. – М.: Мир, 1983. – 312 с.
4. Бендат, Д. Измерение и анализ случайных процессов / Д. Бендат, А. Пирсол. – М.: Мир, 1974. – 464 с.






