Пусть система состоит из одного стационарного эргодического случайного процесса
, который вызывает
наблюдаемых выход-ных процессов
,
, искаженных некоррелированным шумом (рисунок 3.1). Пунктиром на рисунке выделена система, имеющая
трактов распространения входного сигнала с частотными характеристиками
,
.

– входной процесс;
– частотная характеристика i -го тракта;
– ненаблюдаемый истинный выходной процесс i -го тракта;
– ненаблюдаемый шум на выходе i -го тракта;
– наблюдаемый выходной процесс i -го тракта;
– номер тракта распространения сигнала в системе
Рисунок 3.1 – Система с одним входом и несколькими выходами
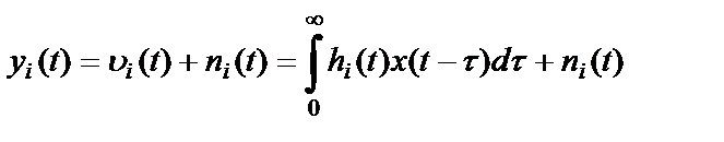
Для каждого i -го тракта распространения сигнала выходной процесс имеет вид
,
. (3.1)
Выполнив финитное преобразование Фурье над реализацией достаточно большой длины
, получим
,
, (3.2)
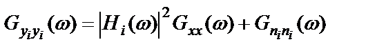
откуда, с учетом некоррелированности шума, спектральная плотность на выходе тракта определится как
,
. (3.3)
Для взаимной спектральной плотности процессов
и
аналогично получим
|
|
|
,
. (3.4)
Соотношения (3.3), (3.4) для i –го тракта рассматриваемой системы в точности совпадают со спектральными соотношениями (2.31), (2.32) для системы с одним входом и одним выходом при наличии внешнего шума на выходе.
Используя формулу (3.2) для различных трактов с номерами i и j, можно получить взаимную спектральную плотность между двумя любыми выходными процессами
. (3.5)
Отсюда следует, что наблюдение взаимной спектральной плотности
и знание частотных характеристик отдельных трактов
и
позволяют оценить спектральную плотность входного процесса
, даже если он ненаблюдаем.






