Облегченный резерв применяется в системах с резервированием замещением.
Определим показатели надежности для наиболее простого варианта – дублированной системы (m=1).
Основная и резервная подсистемы, представлены на рис.14 в виде элементов расчета надежности.

Рис.14. Дублирована система с облегченным резервом.
Считаем, что в процессе работы отказавшие подсистемы не восстанавливаются, переключатели абсолютно надежные и обе подсистемы одинаковые.
Резервная подсистема до момента замещения находится в облегченном резерве, а в случайный момент замещения
она скачком переходит в рабочий режим основной подсистемы, (она отключается) т.е.
(79)
где Λр и Λ – соответственно интенсивность отказов резервной и работающей подсистем.
Очевидно, что дублированная система проработает заданное время t без отказа, если:
· основная подсистема проработает безотказно;
· основная подсистема откажет в случайный момент времени
, а резервная подсистема, находясь в работоспособном состоянии до момента времени
, безотказно проработает в течение заданного времени
.
|
|
|
Так как эти события несовместные, то вероятность безотказной работы дублированной системы за наработку t
(80)
где
) – вероятность безотказной работы основной подсистемы;
– вероятность безотказной работы резервной подсистемы за наработку t при условии, что основная подсистема отказала в момент времени
.
(81)
где
– вероятность безотказной работы резервной подсистемы в момент времени t;
– вероятность безотказной работы резервной подсистемы на интервале
, при условии, что она заместила основную систему;
– плотность вероятности отказов основной подсистемы к моменту времени t.
На рис.15 поясняется смысл выражения (81)

Рис.15. Определение вероятности безотказной работы резервной подсистемы за наработку t:
а – график плотности вероятности отказов основной подсистемы;
б – график изменения интенсивности отказов резервной подсистемы.
Для экспоненциального закона надежности имеем
(82)
(83)
(84)
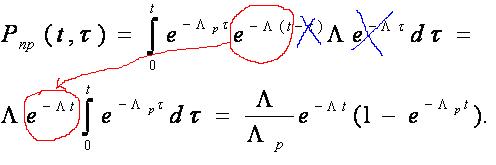
Тогда с учетом (82-84) из соотношения (81) получим
(85)

Подставляя результат (85) в формулу (80) получим
(86)
Проверить, что это выражение в случае нагруженного резерва (Λр=Λ) полностью соответствует выражению (74).

Средняя наработка до отказа дублированной системы с облегченным резервом
(87)
где
- коэффициент надежности резервной подсистемы.
Найдите результаты для
=0 и
=1!!!
Для системы с m – кратным резервированием (без доказательства)
(88)
Выигрыш в надежности по средней наработке до отказа, получаемый при резервировании
(89)
Выигрыш увеличивается с увеличением m и уменьшением Кр.