При выборе газоанализатора в качестве датчика (газосигнализатора) следует помнить, что шкала прибора должна соответствовать концентрационным пределам и что системы сигнализации довзрывных концентраций горючих газов и паров должны выдавать сигналы при концентрациях этих веществ в воздухе в пределах 5—60% от нижнего предела воспламенения, а токсичных — при концентрации, не превышающей предельно допустимую.
Приборы для определения токсичных газов должны обладать высокой чувствительностью и избирательностью, так как существующие санитарные нормы не учитывают суммарного воздействия на человека различных вредных веществ.
В последнее время все большее применение получает хроматографический метод анализа. Благодаря разработке быстро анализирующих автоматических приборов, способных отбирать и анализировать газ непосредственно из производственного потока, а также вследствие высокой точности анализа и возможности определения большого числа компонентов, этот метод может быть успешно применен для оперативного автоматизированного управления процессом. Определение состава газов хроматографическим методом основано на адсорбции компонентов газа поверхностью адсорбентов. В качестве адсорбента можно применять активированный уголь, силикагель, алюмогель, так называемые молекулярные сита (газовая хроматография) и нелетучие жидкости, нанесенные на инертный носитель, например толченый кирпич, гравий (газо-жидкостная хроматография).
|
|
|
Точно замеренное количество исследуемого газа вводят в разделительную колонку, которая представляет собой металлическую трубку, заполненную адсорбентом и свернутую для компактности в спираль. В первую очередь адсорбируются тяжелые углеводороды; в смеси остаются более легкие. Компоненты смеси движутся по колонке, распределяясь по зонам в соответствии со сродством к адсорбенту. Распределению способствует газ-носитель (гелий, двуокись углерода, водород), непрерывно подаваемый в колонку Газ-носитель промывает колонку, десорбирует и увлекает за собой компоненты. Для облегчения процесса колонку подогревают до определенных температур, характерных для каждого компонента.
По мере выхода с газом из колонки компонентов при помощи специальных устройств замеряют их количество.

Действие хроматографов основано на предварительном разделении компонентов, составляющих анализируемую смесь, и последующем выделении каждого компонента. Выходной электрический импульс передается на электронный автоматический прибор, записывающий хроматограмму, состоящую из ряда пиков, каждый из которых соответствует определенному компоненту анализируемой смеси. Площадь каждого пика пропорциональна процентному содержанию компонентов смеси.
|
|
|
Часто применяется хроматограф ХПА-4 для автоматического непрерывного определения и регистрации химического состава газовых потоков. Принцип действия хроматографа основан на физическом разделении газовой смеси на составляющие компоненты, при котором компоненты распределяются между двумя фазами: подвижной и неподвижной. Разделение компонентов происходит за счет различной поглощаемости или неодинакового растворения компонентов газовой смеси, проходящей через слой неподвижного сорбента. В результате скорость движения газов меняется в соответствии со степенью поглощения каждого газа. Чем больше сорбируемость газа, тем больше торможение и меньше его скорость движения. С течением времени в силу различия в скоростях газы отделяются друг от друга. Проба продувается через слой сорбента при помощи газа-носителя. При постоянном расходе газа-носителя и постоянной температуре время выхода из хроматографической колонки компонента всегда постоянно, поэтому может быть установлена определенная очередность выхода компонентов, являющаяся качественным показателем при хроматографическом анализе.
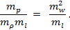
Сопоставление сил давления и инерции.

После сокращения на
и подстановки множителей подобия получают

Откуда, разводя величины с одинаковыми индексами в разные части равенства, получают для всех сходственных точек:

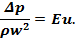
Смысл критерия Эйлера – соотношение сил давления и инерции.
В технологических расчетах инженера интересует прежде всего перепад давления между сходственными сечениями. Поэтому на практике используют критерий Эйлера в виде







