1. Кутові вимірювання виконують з метою визначення у просторі або на горизонтальній площині взаємного розташування точок місцевості. Для визначення положення точок на плані вимірюють горизонтальні кути. Для визначення їх положення за висотою вимірюють вертикальні кути (кути нахилу). Вимірювання горизонтальних і вертикальних кутів на місцевості виконується спеціальним приладом – теодолітом.
При вимірюванні горизонтального кута між напрямками АВ і АС (рис. 1), які виходять з вершини вимірюваного кута – точки А, дані напрямки проектують на горизонтальну площину, і між їх проекціями Аb і Ас утворюється горизонтальний кут β, який вимірюють теодолітом. Роль горизонтальної площини у теодоліта виконує круг, який називають лімбом. На нього нанесена шкала градусних поділок. Градусні поділки лімба підписані від 0° до 360° за годинниковою стрілкою.

Рис. 1. Схема вимірювання горизонтального кута.
Центр лімба має знаходитись на одній прямовисній лінії з вершиною вимірюваного кута – точкою А. Щоб позначити на лімбі проекції напрямків АВ і АС, над нерухомим під час вимірювання кута, лімбом обертається другий кут, який називають алідадою.
|
|
|
На алідаді нанесений відліковий пристрій у вигляді штриха або шкали, за допомогою яких беруть відлік по лімбу.
Лімб і алідада складають горизонтальний круг теодоліта (рис. 2). Для вимірювання кута β (рис. 33) наводять зорову трубу на праву точку (С), і навпроти штриха, який є на алідаді, беруть відлік UПР по лімбу. Потім, не обертаючи лімб, обертають алідаду, зорову трубу наводять на ліву точку (В) і навпроти того ж штриха алідади, який опиниться в точці B, беруть відлік UЛВ по лімбу.
Так як поділки на лімбі підписані за ходом годинникової стрілки, то відлік UПР буде більший за відлік UЛВ, і горизонтальний кут β буде дорівнювати:

Якщо при цьому відлік UПР виявиться меншим за відлік UЛВ, то до відліку UПР треба додати 360°. А формула обчислення горизонтального кута, відповідно, має вигляд


Рис. 2. Горизонтальний круг теодоліта
2. Теодоліти класифікують за видом матеріалу з якого виготовлений лімб, та за точністю вимірювання кута.
Теодоліти з металевими лімбами відносять до групи механічних, теодоліти з скляними лімбами називають оптичними.
Сучасні прилади, в яких широко застосовується мікропроцесорна техніка і які обладнані кодовими лімбами, відносяться до електронно-оптичних теодолітів.
В залежності від точності вимірювання кута, теодоліти ділять на:
1) високоточні, середня квадратична похибка вимірювання кута складає m β = ±(0,5′′ −1′′). Сюди відносять теодоліти типу Т1, Т 0,5;
2) точні, середня квадратична похибка вимірювання кута складає = ±(2′′ − 5′′) β m. Сюди відносять теодоліти типу Т2, Т 5.
|
|
|
3) технічні, середня квадратична похибка вимірювання кута складає = ±(15′′ − 60′′) β m. Сюди відносять теодоліти типу Т15, Т30, Т60.
Теодоліти з вертикальним кругом називають тахеометрами.
Зважаючи на те, що інженеру, для виконання своїх посадових обов’язків, достатньо теодоліта технічної точності, наведемо основні технічні характеристики таких теодолітів (табл. 1).
Таблиця 1
Технічні характеристики сучасних теодолітів технічної точності

Не завжди сума виміряних кутів відповідає істинному значенню. На величину виміряного кута впливають різні фактори, не останню роль серед яких відводиться інструментальним похибкам.
Інструментальними вважають похибки відхилення приладу чи його частин від геометричної схеми. Інструментальні похибки розділяють на:
а) похибки неточності виготовлення і збирання;
б) похибки через порушення геометричної схеми приладу.
До першої групи відносять:
похибки нанесення штрихів на лімбах;
похибки форми внутрішньої поверхні рівня;
ексцентриситет алідади;
похибки встановлення оптичних деталей.
Вплив цих похибок незначний, вони виявляються під час виготовлення і виправляються. Друга група похибок визначається перевірками приладу.
Перевірка – це дія, в результаті якої встановлюють, чи виконуються геометричні умови, які пред’являються до приладу.
Виправлення цих похибок називають юстируванням. Перевірки бувають:
поточні (1 раз на рік);
позачергові (після транспортування, при отриманні після зберігання);
часткові, технологічні (майже завжди перед роботою).
Результати перевірок заносять до атестату та паспорту приладу.
Атестат – це разовий документ, до якого заносять результати окремої перевірки. Паспорт – документ, в якому відображають результати всіх перевірок.
Перевірки виконують при температурі t = +(20. С ± 5.); вологості навколишнього середовища 60 ± 20 %; тиску 760 мм ртутного стовпа.
Незалежно від конструкції, модифікації і класу точності, будь-який теодоліт має такі геометричні елементи (рис. 3):
• Вертикальна вісь обертання теодоліта (ZZ’).
• Візирна вісь зорової труби (VV’).
• Горизонтальна вісь обертання зорової труби (HH’).
• Вісь циліндричного рівня (UU’).

Рис. 3. Конструктивна схема теодоліта
1 – вертикальний круг; 2 – горизонтальний круг; 3 – зорова труба;
4 – циліндричний рівень; 5 – відліковий пристрій.
На рис. 4 зображений загальний вигляд теодоліта технічної точності 2Т30М, а на рис. 5 – 4Т30П.
|

Рис. 5. Облаштування теодоліта 4Т30П: 1 - голівка штатива; 2 - основа; 3 - підйомний гвинт; 4 - навідний гвинт алідади; 5 – закріпний гвинт алідади; 6 - навідний гвинт зорової труби; 7 - окуляр зорової труби; 8 - запобіжний ковпачок сітки ниток зорової труби; 9 - кремальєра; 10 - закріпний гвинт зорової труби; 11 – об’єктив зорової труби; 12 - циліндричний рівень; 13 - навідний гвинт лімба; 14 - закріпний гвинт лімба; 15 - окуляр відлікового мікроскопа з діоптрійним кільцем; 16 - люстерко для підсвічування штрихів відрахункового мікроскопа; 17 - колонка; 18 - орієнтир-бусоль; 19 - вертикальный круг; 20 - візир; 21 - діоптрійне кільце окуляра зорової труби; 22 - виправні гвинти циліндричного рівня; 23 – підставка

Рис. 6. Принцип вимірювання горизонтальних кутів теодолітом.
|
|
|
При вимірюванні кутів беруть відліки по лімбу. На рис. 7 зображене поле зору відлікового шкалового мікроскопа теодоліта 2Т30М. Верхня частина поля зору дає зображення шкали і поділок лімба вертикального круга, нижня – горизонтального.
Ціна поділки лімба дорівнює 1°. Довжина шкали, за допомогою якої роблять відлік, дорівнює одній поділці рівня. Вона розділена на 60 поділок, отже ціна поділки шкали дорівнює 1'. Десяті частки поділки шкали оцінюють на око, отже відлік виконують до 0.1'.

Рис. 7. Поле зору шкалового мікроскопа
Відлік за ВК дорівнює 16°08’ Відлік за ГК дорівнює 88°56’


Рис. 8. Поля зору відлікових пристроїв: а - штрихового мікроскопа з відліками по вертикальному кругу 358°48', по горизонтальному 70°04'; б - шкалового мікроскопа з відліками: по вертикальному кругу 1°11,5', по горизонтальному 18°22'; по вертикальному кругу - 0°46,5' по горизонтальному - 95°47'

Рис. 9. Циліндричний рівень теодоліта
а – поздожній розріз; б – розріз
3. Перед початком вимірювань теодоліт приводять в робоче положення. Для цього встановлюють штатив над вершиною вимірюваного кута. Прикріплюють теодоліт до штатива за допомогою станового гвинта. Далі виконують такі дії:
1. центрування – сполучення центру горизонтального круга з прямовисною лінією, яка проходить через вершину вимірюваного кута. Центрування виконують за допомогою відвісу (ниткового, оптичного, лазерного). Допустиме відхилення відвісу від точки – 3 – 4 мм.
2. горизонтування – приведення площини лімба у горизонтальне положення. Горизонтування виконується за допомогою циліндричного рівня та підйомних гвинтів. Після приведення теодоліта в робоче положення вимірюють горизонтальний кут між напрямками на дві точки при двох положеннях вертикального круга. Такий спосіб вимірювання горизонтального кута називається способом прийомів.
Вимірювання виконуються в такій послідовності.
Перший напівприйом.
• При положенні вертикального круга, наприклад, зліва, зорову трубу наводять на праву точку. В мікроскопі беруть відлік UПР по шкалі горизонтального круга.
|
|
|
• Відкріплюють алідаду, візують на ліву точку і беруть відлік UЛВ.
• Обчислюють значення горизонтального кута за формулою

Другий напівприйом.
Виконується для контролю вимірювань.
• Трубу переводять через зеніт і змінюють, таким чином, положення вертикального круга на протилежне – КП.
• Повторюють дії першого напівприйому.
• Обчислюють значення горизонтального кута, виміряного при крузі праворуч за формулою

Другий напівприйом.
Виконується для контролю вимірювань.
• Трубу переводять через зеніт і змінюють, таким чином, положення вертикального круга на протилежне – КП.
• Повторюють дії першого напівприйому.
• Обчислюють значення горизонтального кута, виміряного при крузі праворуч за формулою

Порівнюють результати:
Якщо умова виконується, обчислюють середнє значення кута. Результат записують до журналу (рис. 10).

Рис. 10. Журнал вимірювання горизонтального кута
4. Принцип вимірювання кутів нахилу, які знаходяться у вертикальній площині, полягає у визначенні кута між горизонтальною лінією і напрямком на точку візування.
Для вертикального круга теодоліта має виконуватись умова: при сполученні нуля лімба зі штрихом відлікового пристрою візирна вісь зорової труби має бути у горизонтальному положенні. Ця умова не завжди виконується.
А відлік по вертикальному кругу при горизонтальному положенні візирної осі зорової труби називається місцем нуля (МО) вертикального круга (рис. 11).
Кут нахилу вимірюють двічі (при двох положеннях вертикального круга).
Спочатку обчислюють МО за формулою


Рис. 11. Вертикальний круг теодоліта.
Обчислюють значення кута нахилу за однією з формул:

Результати вимірювання заносять до журналу (рис. 12).

Рис. 12. Журнал вимірювання кута нахилу.
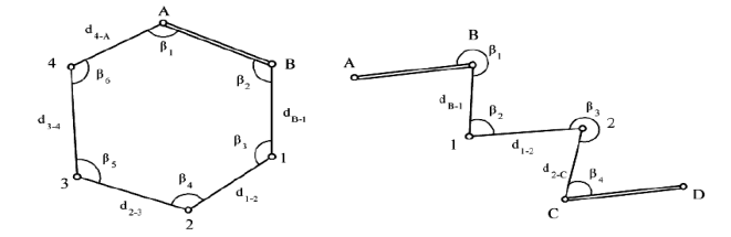
5. Теодолітний хід слугує зйомочною основою для виконання топографічних зйомок. Теодолітні ходи проектують на існуючих картах та планах крупного масштабу у вигляді замкнених полігонів і розімкнених ходів (рис. 13). Вибір точок теодолітного ходу виконують у польових умовах. При цьому дотримуються наступних вимог.
1. Потрібно забезпечити гарну видимість суміжних точок ходу і якомога більшої кількості об’єктів місцевості в радіусі 100 – 150 м.
2. Місце навколо станції має бути зручним для встановлення теодоліта.
3. Необхідно потурбуватись про довгострокове збереження точки.
4. Довжини ліній теодолітного ходу мають бути в межах 40 – 350 м.
5. Лінії між точками мусять проходити по місцевості, найбільш зручній для виконання лінійних вимірювань.

Рис. 13. Теодолітний хід
а – замкнений; б – розімкнений
Просторове положення (координати) станцій теодолітного ходу визначають на основі кутових і лінійних вимірювань. Горизонтальні кути вимірюють теодолітом повним прийомом, кути нахилу вимірюють при одному положенні вертикального круга. Довжини ліній вимірюють мірними стрічками в прямому і зворотному напрямках.
6. Математична обробка результатів вимірювань у теодолітному ході полягає у визначенні допустимих нев’язок кутових і лінійних вимірювань, введенні поправок в результати вимірювань та обчисленні координат точок теодолітного хода. Математичну обробку виконують в координатній відомості (рис. 13) в такій послідовності.
1. Обчислюють суму виміряних кутів за формулою

2. Обчислюють теоретичну суму кутів замкненого ходу

де n – кількість кутів у полігоні.
3. Обчислюють кутову нев’язку

4. Обчислюють гранично допустиму кутову нев’язку за формулою

де t – точність теодоліта.
Якщо кутова нев’язка не перевищує гранично допустиму, то виконують
зрівнювання результатів вимірювань.
5. Обчислюють поправки до кожного виміряного кута за формулою

6. Обчислюють зрівняні кути за формулою

7. Обчислюють дирекційні кути сторін теодолітного ходу

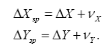
8. Обчислюють прирости координат за формулами

9. Обчислюють нев’язки в приростах координат за формулами

10. Обчислюють абсолютну нев’язку


Рис. 14. Координатна відомість теодолітного ходу
11. Обчислюють відносну нев’язку

Обчислена відносна нев’язка ходу не має перевищувати величини, яка дорівнює 1:2000.
12. Обчислюють поправки до приростів координат:

13. Обчислюють зрівняні прирости координат:

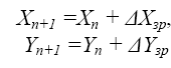
14. Обчислюють координати точок теодолітного ходу:

Контрольні запитання для самоперевірки
1. У чому полягає принцип вимірювання горизонтального кута?
2. Поняття про візирні осі.
3. Що таке збільшення зорової труби?
4. Штриховий мікроскоп.
5. Шкаловий мікроскоп.
6. Мікроскоп-мікрометр.
7. Верньєр.
8. Точність верньєра.
Як встановити теодоліт у робочий стан?
2.Класифікація теодолітів.
3.Які теодолітм називають оптичними?
4.Які теодоліти відносяться до електронно-оптичних?
5.Який відліковий пристрій використовують у теодоліті 2Т30П?
6.Який відліковий пристрій використовують у теодоліті 4Т15П?
7. Чому дорівнює середня квадратична похибка вимірювання
горизонтальнтого кута у теодолітів технічної точності?
8. Гранична похибка вимірювання кута.
9.Що називають перевіркою приладу?
10. Які перевірки виконуються для теодоліта?
11. Що називають колімаційною похибкою теодоліта?
12. Перевірка циліндричного рівня при алідаді горизонтального круга.
13. Що називають юстируванням теодоліта?
14. Якими способами вимірюють горизонтальний кут?
15. Спосіб вимірювання кута “Від нуля”.
16. Спосіб прийомів при вимірюванні горизонтального кута.
17. Спосіб кругових прийомів вимірювання горизонтального кута.
18. Сформулюйте правило вимірювання правого кута у теодолітному ході.
19. Вплив ексцентриситету алідади на відліки по лімбу.
20. Вплив центрування на точність вимірювання горизонтальних кутів.
21. Принцип вимірювання вертикальних кутів.
22. Місце нуля вертикального круга.
23. Що називають вертикальною рефракцією?
24. Коли враховують вплив рефракції при вимірюванні вертикальних кутів?
Рекомендована література
1. Геодезія / Загальна ред. С.Г. Могильного і С.П. Войтенка. – Донецьк, 2003. – 458 с.
2. Геодезия. Учебно-практическое пособие / Куштин И.Ф. – М.: Издательство ПРИОР, 2001. – 448 с. Геодезія / Грабовий В.М. – Київ: ДНВП «Аерогеодезія», 2004. – 293 с.
3. Дубов С.Д., Поляков А.Н. Практикум по геодезии. – М.: Агропромиздат, 1990. – 223 с.
Лекція № 13 – 14
Тема: Основи топографічного знімання місцевості
Мета: Теоретичне засвоєння основних прийомів загальної топографічної зйомки місцевості
Тематичний план лекції:






