1. Нівелюванням називають вид геодезичних робіт, при яких вимірюють перевищення між точками земної поверхні або будівельних конструкцій.
Розрізняють такі види нівелювання:
• геометричне –виконується за допомогою нівеліра і базується на принципі горизонтального променя візування (рис. 1, а);
• тригонометричне – виконується за допомогою теодоліта і базується на принципі похилого променя візування (рис. 1, б);
• гідростатичне – базується на властивості поверхні рідини знаходитися на одному рівні в сполучених посудинах (рис. 1, в);
• барометричне – базується на залежності зміни атмосферного тиску від зміни висоти точки;
• стереофотограметричне – базується на вимірюванні перевищень за аерофотознімками земної поверхні.
У основу барометричного нівелювання покладена залежність атмосферного тиску від висоти над рівнем моря.
Ця залежність у строгому вигляді досить складна і враховує багато факторів фізичного стану атмосфери: атмосферний тиск, температуру і вологість повітря, широту місця спостереження. Вона носить назву повної формули барометричного нівелювання. На практиці застосовують простіший і зручніший для використання вираз:
|
|
|

де 1/273 – температурний коефіцієнт об’ємного розширення повітря;
t – середня температура повітря;
e – середній парціальний тиск водяного пару, який знаходиться у повітрі;
p – середній атмосферний тиск;
p1, p2 – величини атмосферного тиску на точках які спостерігаються.
Якщо знехтувати впливом вологості повітря, то барометрична формула буде мати простіший вигляд:

Ця формула носить назву формули Бабіне, за ім’ям французького вченого, який її вивів.
При виконанні геодезичних робіт найчастіше в агрономії застосовують геометричне, тригонометричне нівелювання.
в

г
Рис. 1. Методи нівелювання:
а – геометричний, б – тригонометричний; в – гідростатичне; г – механічне
2. Нівелір – оптико-механічний прилад, призначений для вимірювання перевищень між точками геометричним методом (табл. 1).
За будовою розрізняють:
• нівеліри з циліндричним рівнем на зоровій трубі;
• нівеліри з компенсатором;
• електронні нівеліри.
За точністю нівеліри поділяють на:
• високоточні (Н-05, Н-1, Н-2);
• точні (Н-3);
• технічні (Н-10).
Буква Н означає нівелір, цифри – середню квадратичну похибку вимірювання перевищення на 1 км відстані, буква Л – нівелір з лімбом, К – з компенсатором, КЛ – з компенсатором і лімбом.
Нівелір будь-якої конструкції складається з трьох основних частин: зорової труби, з сіткою ниток для зняття відліків по рейці; пристрою, що забезпечує горизонтальне положення лінії візування і підставки з пристроєм для приведення приладу в робоче положення.
|
|
|
Таблиця 1
Основні технічні характеристики нівелірів

На рис. 2 показано точний нівелір Н-3 з циліндричним рівнем на зоровій трубі.

Рис. 2. Нівелір Н-3.
Нівелір Н-3 дає перевернуте зображення, відноситься до класу точних нівелірів і забезпечує збільшення зорової труби – 31.5х, найменшу відстань візування –1м, ціну поділки рівнів: круглого -10', контактного циліндричного – 15". Маса приладу у футлярі 1.8 кг. Прилад призначений для виконання нівелювання III і IV класів, а також для інженерно-геодезичних робіт при вишукуваннях в будівництві.
На рис. 3 зображений технічний нівелір Н-10КЛ з компенсатором і лімбом. Оптична система даного нівеліра після попереднього приведення за допомогою круглого рівня осі обертання у вертикальне положення автоматично встановлює візирну вісь зорової труби в горизонтальне положення. Лімб призначений для вимірювання горизонтальних кутів.

Рис. 3 а. Нівелір Н-10КЛ.
1 – лімб; 2 – окуляр; 3 – круглий рівень; 4 – кришка-дзеркало;
5 – гвинт механізму перефокусування; 6 – підставка; 7 – підйомні гвинти;
8 – об’єктив; 9 – пружиниста пластина;

Рис. 3 б. Точний нівелір Н- 3 з циліндричним рівнем при зоровій трубі: 1 - підйомні гвинти; 2 - круглий рівень; 3 - элевационный гвинт; 4 - окуляр зорової труби з діоптрійним кільцем; 5 - візир; 6 - кремальера; 7 - об'єктив зорової труби; 8 - закріпний гвинт; 9 -наводящий гвинт; 10 - контактний циліндричний рівень; 11 - юстировочные гвинти циліндричного рівня.

Рис. 3 в. Точний нівелір ЗН-3КЛ з компенсатором і лімбом:
1 - лімб; 2 - навідний гвинт; 3 - кремальєра; 4 - візир

Рис. 3 г. Технічний нівелір 2Н – 10 КЛ.
Нівелір прикріплюють до штатива за допомогою станового гвинта і пружної пластини (рис. 4). Вісь обертання нівеліра у вертикальне положення встановлюють за круглим рівнем з допомогою підйомних гвинтів, гвинтова нарізка яких входить в гнізда підставки (тригера). Для наближеного наведення труби на рейку використовують мушку над об’єктивом зорової труби нівеліра, для точного – навідний гвинт, який працює, коли труба зафіксована закріплювальним гвинтом. Гвинт кремальєри призначений для фокусування труби, а різкість зображення сітки ниток досягається обертанням діоптрійного кільця окуляра. Перед кожним відліком по рейці візирну вісь нівеліра встановлюють в горизонтальне положення елеваційним гвинтом. Зображення половинок кінців бульбашки контактного циліндричного рівня через систему призм передаються в поле зору труби. Якщо центр бульбашки рівня сумістити з нуль-пунктом ампули, то виникне оптичний контакт – зображення половинок кінців бульбашки рівня будуть рівними за довжиною і утворять у верхній частині суцільну дугу. При нахилі осі рівня контакт порушується.

Рис. 4. Нівелір Н-3: а – загальний вигляд; б – вигляд з боку камери циліндричного рівня; 1 – зорова труба; 2 – закріпний гвинт труби; 3 – навідний гвинт труби; 4 – підставка нівеліра з підйомними гвинтами; 5 – виправні гвинти круглого рівня; 6 – еліваційний гвинт труби; 7 – круглий рівень; 8 – гвинт фокусування (кремальєрний) труби; 9 – камера циліндричного рівня; 10 – виправні гвинти циліндричного рівня; 11 – заслінка циліндричного рівня; 12 – циліндричний рівень; 13 – штатив.
Нівелір 4Н3КЛ з компенсатором і лімбом (рис. 18) має оптичну систему, яка після попереднього приведення осі обертання нівеліра у вертикальне положення за допомогою круглого рівня автоматично встановлює зорову вісь труби в горизонтальне положення. Лімб призначений для вимірювання горизонтальних кутів і напрямків.

Рис. 5. Нівелір 4Н3КЛ.
Цифровий електронний нівелір – це економічно ефективна вимірювальна система збору та обробки даних у цифровому вигляді, що забезпечує ефективне виконання робіт завдяки використанню сучасних технологій (рис. 6).
|
|
|

Рис. 6. Цифровий електронний нівелір LS 150 M.
Універсальний лазерний нівелір широкого застосування – дозволяє будувати горизонтальну або вертикальну площині з автоматичним вирівнюванням, а також будувати вручну похилу площину з відхиленням до 5 ° від горизонталі (вертикалі), нівелір має видимий лазерний промінь для завдання напряму при розбитті, різні функції сканування, дистанційне керування і приймач.
Для встановлення нівеліра на зручну для спостерігача висоту використовують нівелірний штатив. Нівелір кріпиться до штатива за допомогою станового гвинта. Для вимірювання перевищень використовують рейки. Нівелірні рейки можуть виготовлятись з дерев’яних брусків або з алюмінію, можуть бути суцільними або складаними.
Для точного нівелювання, а також при виконанні всіх видів геодезичних і розміточних робіт у будівництві застосовують рейку РН-3 (рис. 7).
Нівелірні рейки виготовляють із витриманих, спеціально оброблених ялинових або соснових брусків, пластмас, металу або інших матеріалів, які відповідають вимогам до рейок (рис. 7). Поділки на рейках нанесені у вигляді сантиметрових шашечок, які оцифровані через сантиметр. Рейки, як правило, трьохметрові, двосторонні: основна шкала – чорна, додаткова – червона.
Рейка РН-3 – дерев’яна, довжиною 3 метри. Для контролю відліків поділки на рейці нанесені з обох боків. Поділки шашечці з інтервалом 1 см. З одного боку чергуються чорні та білі поділки (основна шкала), з іншого – червоні та білі (допоміжна шкала). На основній шкалі відлік поділок починається з нуля, на допоміжній – з довільного числа.
На рис. 21 наведено поле зору нівеліра Н-10КЛ в момент взяття відліку.
Вертикальний штрих сітки ниток наводять на центр рейки і беруть відлік за горизонтальним штрихом. Спочатку беруть кількість підписаних дециметрів (16), потім повних сантиметрових поділок (5) і на око оцінюють десяті частки сантиметрової поділки (4). Повний відлік складає 1600 + 50 + 4 = 1654 мм.
При нівелюванні рейки встановлюють на кілки, металічні костилі або башмаки. Нівелірні башмаки являють собою металічні злитки (рис. 9) у вигляді пластинок зі сферичними головками посередині. Під час нівелювання, попередньо знявши дерн, башмаки кладуть на ґрунт і встановлюють на них рейки п’яткою донизу.
|
|
|

а б в г
а, б – нівелірні рейки для оптичних нівелірів; в – нівелірні рейки для оптичних нівелірів; г – Нівелірні рейки для цифрових / електронних нівелірів

Рис. 8. Поле зору нівеліра Н-10КЛ.
Відлік по рейці дорівнює 1654 мм
Костиль – металевий стержень зі сферичним виступом зверху та загостреним кінцем.
|
3. Розрізняють два способи геометричного нівелювання:
• із середини;
• вперед.
Нівелювання із середини. Між закріпленими точками місцевості А і В встановлюють нівелір (місце установки нівеліра називають станцією). В точках А і В вертикально встановлюють рейки. Нівелір приводять в робоче положення.
Візують на задню рейку і беруть відлік UA (рис. 10).

Рис. 10. Схема геометричного нівелювання із середини
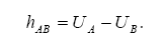
Повертають зорову трубу на точку точками hAB обчислюють за формулою

Якщо відома відмітка HA точки А, то відмітка точки В буде дорівнювати

Тобто відмітка наступної точки дорівнює відмітці попередньої точки плюс перевищення. Відмітку наступної точки можна також обчислити через висоту променя візування.
Відповідно до рисунка, висота променя візування HПВ буде дорівнювати

Тоді

Тобто відмітка точки дорівнює висоті променя візування мінус відлік по рейці, встановленій на цій точці.
Нівелювання вперед. При нівелюванні вперед в точці А встановлюють нівелір, а в точці В – рейку (рис. 11).
Приводять нівелір в робоче положення і вимірюють його висоту i. Беруть
відлік UВ по рейці, встановленій в точці В.

Рис. 11. Схема геометричного нівелювання вперед.
Шукане перевищення hAB обчислюють за формулою

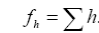
4. Послідовне нівелювання. Послідовне нівелювання виконують з метою передачі відміток на значні відстані, а також для побудови профілю місцевості.
Лінію АВ (рис. 12) розбивають на частини, кожна з яких нівелюється з однієї станції. Встановивши нівелір на першій станції, отримують перевищення точки А відносно точки 1:


Рис. 12. Схема послідовного нівелювання.
Далі послідовно переставляють нівелір і рейки, аналогічно знаходять перевищення h2, h3, h4 між точками 1 і 2, 2 і 3, 3 і В. Таким чином прокладають нівелірний хід. Перевищення кінцевої точки над початковою hАВ дорівнює сумі перевищень, отриманих з усіх станцій:

Відмітка HВ кінцевої точки буде дорівнювати відмітці початкової точки плюс сума усіх перевищень:

Якщо нівелювання виконують з метою побудови профілю місцевості, то визначають висоти всіх задніх і передніх точок (1, 2, …):

Через точки 1, 2, … виконують послідовну передачу відміток нівелірним ходом. Ці точки називають сполучними. Сполучні точки позначають на місцевості через певні інтервали (частіше через 100 м), тому вони можуть не співпадати з точками перегину рельєфу. Проте для побудови профілю місцевості важливо знати відмітки цих точок. Ці точки називають проміжними або плюсовими і позначають числом метрів, яке відповідає відстані від задньої точки (на рис. 20 це точка +71 на станції 2).
Відмітки проміжних точок обчислюють через висоту променя візування.
Відліки по рейкам, встановленим на проміжних точках, в обрахунку відміток сполучних точок не приймають участі.
5. Порядок роботи на станції геометричного нівелювання. Вимірювання перевищень при технічному нівелюванні виконують у такій послідовності.
1. Нівелір встановлюють посередині між точками А і В (рис. 12) і приводять його в робоче положення.
В журналі технічного нівелювання (рис. 13) фіксують номер станції (1), задньої (А), передньої (В) і проміжної (С) точок.
2. Візують на задню рейку, встановлену в точці А, і беруть відлік за чорною шкалою (2190). Результат заносять до колонки №3.
3. Візують на передню рейку, встановлену в точці В, і так само беруть відлік за чорною шкалою (0550). Результат записують у колонку №4.
4. Перевертають передню рейку червоним боком і беруть відлік за шкалою (5202).
5. Візують на задню рейку, встановлену в точці А, і беруть відлік за червоною шкалою (6840).
6. Візують на проміжну точку (С) і беруть відлік тільки за чорною шкалою (1166). Результат записують в колонку №5 журналу технічного Нівелювання (рис. 13).

Рис. 13. Журнал технічного нівелювання
6. Висотні ходи зйомочної основи проектують за точками теодолітного ходу з прив’язкою кінцевих точок до марок і реперів державної геодезичної мережі або мережі згущення (рис. 14). Вимірювання перевищень між точками виконують методом геометричного або тригонометричного нівелювання.
1. Обчислюють суму виміряних перевищень

2. Обчислюють теоретичну суму перевищень за формулою

де HRpK, HRpH – відмітки кінцевого і початкового реперів.
Для замкненого ходу

3. Обчислюють нев’язку в перевищеннях за формулою

Для замкненого ходу

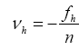
Гранично допустиму нев’язку для технічного нівелювання обчислюють за формулою

Рис. 14. Нівелірний хід
а – замкнений; б - розімкнений
Камеральна обробка результатів геометричного нівелювання.

де L – довжина нівелірного ходу в кілометрах.
Якщо fh ≤ fh доп, то математичну обробку продовжують. В протилежному випадку виконують повторне вимірювання перевищень hi.
4. Обчислюють поправки до виміряних перевищень за формулою

5. Обчислюють виправлені перевищення за формулою

6. Обчислюють відмітки точок за формулою

На рис. 15. наведено приклад математичної обробки замкненого нівелірного ходу.

Рис. 15. Журнал технічного нівелювання.
Контрольні питання для самоперевірки
1. Що називають нівелюванням?
2. Які способи нівелювання ви знаєте?
3. Геометричне нівелювання.
4. Нівелювання способом”Із середини”.
5. Нівелювання способом “Уперед”.
6. Горизонт приладу.
7. Види нівелювання за точністю.
8. Типи нівелірів.
9. Конструктивні особливості виготовлення нівелірів.
10. Наведіть схему будови циліндричного рівня.
11. Що називають візирною віссю нівеліра?
12. Збільшення зорової труби.
13. Межі фокусування зорової труби нівеліра.
14. Компенсатор кутів нахилу.
15. Діапазон роботи компенсатора.
16. Нівелірні рейки.
17. Перевірки нівелірів.
18. Перевірка сітки ниток зорової труби.
19. Перевірка круглого рівня.
20. Перевірка головної умови нівеліра.
Рекомендована література:
1. Геодезія / Загальна ред. С. Г. Могильного і С.П. Войтенка. – Донецьк, 2003. – 458 с.
2. Геодезия. Учебно-практическое пособие / Куштин И.Ф. – М.: Издательство ПРИОР, 2001. – 448 с. Геодезія / Грабовий В.М. – Київ: ДНВП «Аерогеодезія», 2004. – 293 с.
3. Дубов С.Д., Поляков А.Н. Практикум по геодезии. – М.: Агропромиздат, 1990. – 223 с.
4. Кравченко В.П., Герасименко П.І., Порицький Г.О.Меліорація з основами геодезії. – К. 1988. – 203 с.
Лекція № 11 – 12
Тема: Вимірювання кутів на місцевості
Мета: Теоретичне засвоєння основних положень та сутності вимірювання кутів на місцевості та теодолітної зйомки
Тематичний план лекції:
1. Загальний принцип вимірювання горизонтального кута.






