Принятие финансовым менеджером долгосрочных и краткосрочных решений основывается на нескольких принципах.
1. Отдача (результат) от принятого решения, оцененная в денежной форме, должна превышать затраты на его осуществление. И инвестиционные, и финансовые решения предполагают создание активов, обеспечивающих денежные поступления их владельцу.
Различают реальные активы (имеющие материальную и нематериальную форму), которые связаны с товарными, инновационными рынками и рынками недвижимости (здания, оборудование, запатентованные и незапатентованные права), и финансовые активы (ссудные договора, облигации, акции и т.п.). В ряде случаев денежные поступления по активу имеют форму определенных выплат (рентные платежи, купонные выплаты по облигации, дивиденды по акции), а в ряде случаев носят неявный характер — повышение (или понижение) цены актива. По долгосрочному активу (в приобретение которого вкладывался капитал) этот доход представляет собой прирост (потери) капитала.
2. Осуществление затрат и получение результата могут отстоять друг от друга во времени, поэтому при их сопоставлении необходимо учитывать относительную величину потери, связанную с отстоянием во времени получения результата.
Разновременность получения результата и принятия решения требует сопоставления разновременных денежных средств, т.е. учета временной стоимости денег (см. Приложение 1).
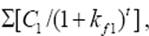
Для одногодичного рассмотрения актива А текущая оценка безрискового денежного потока С1, получаемого по активу, равна С1 / (I+kf ), где kf — безрисковая ставка процента, отражающая альтернативную стоимость капитала при гарантированном получении денежного потока С1. Принимая решение по инвестированию в актив А с получением дохода через год, инвестор тем самым отказывается от вариантов инвестирования, которые могли обеспечить максимальную доходность k f % годовых. Для актива, приносящего денежные потоки в течение ряда лет, текущая оценка результата будет равна
,
где kf1, kf2 — безрисковые процентные ставки (в % годовых) на периоды инвестирования 1 год, 2 года и т.д.
3. Если денежные поступления по активу гарантированы в заранее установленном размере, то актив называется безрисковым. Рисковый актив — актив, денежные поступления по которому частично зависят от случая (либо не гарантируется само получение дохода, как по акции, либо фиксированные выплаты могут не осуществиться по ряду причин). Актив, денежные поступления по которому не гарантированы и имеют элементы неопределенности, ценится меньше, чем актив с определенным результатом.
Риск может быть определен как вероятность того, что прогнозируемые события не произойдут (не осуществятся обещанные явные платежи, не произойдет прирост капитала) и реальные денежные потоки окажутся меньше прогнозируемых.
Нежелательные отклонения рассматриваются обычно как чистый риск (потеря капитала, неполучение обещанных явных платежей). Возможность отклонения результата как в положительную, так и в отрицательную сторону носит название спекулятивного риска.
Инвестор, выбирающий из альтернативы двух активов (рискового и безрискового) с равным значением результата тот, по которому результат гарантирован, считается противником риска (несклонным к риску). Одинаковое отношение к рисковому и безрисковому одинаковым по номиналу результатам определяет инвестора, безразличного к риску. Отношение к риску зависит от величины денежных средств, по которым принимается решение. Чем больше возможная величина потери, тем менее инвестор склонен к риску.
Финансовый менеджер, принимающий решения по корпорации, активы которой велики, рассматривается как несклонный к риску. Как правило, он отдает предпочтение тому варианту, при котором для заданного значения результата (денежного поступления или в относительных величинах — доходности) риск меньше. Выбор сочетания "блага" доходности и "антиблага" риска для каждого финансового менеджера будет свой. Общим правилом для несклонного к риску инвестора является требование увеличения доходности с ростом риска. Если риск не может быть устранен, то он должен быть компенсирован.
Кривые безразличия инвесторов (точки кривой обозначают оценку полезности для инвестора при различных сочетаниях риска и доходности) показаны на рис. 3.1.

Инвестор Б более склонен к риску, чем инвестор А, так как при фиксированном значении доходности г % соглашается на больший риск.
Риск должен быть компенсирован — выбором варианта с большей доходностью, чем по гарантированному результату, или через страхование — и может быть снижен — либо уменьшением неопределенности через покупку информации, либо диверсификацией.
Диверсификация предполагает распределение усилий и капитала по различным направлениям деятельности, результаты которых непосредственно не связаны. Для инвестора диверсификация означает создание портфеля активов (комбинацию из более чем двух активов), денежные потоки по которым независимы.
Для реальных активов возможно найти комбинацию, которая бы обеспечивала получение дохода почти гарантированно (производство кондиционеров и обогревателей, зонтов и шезлонгов, прогулочных яхт и рыболовецких лодок). Однако абсолютно нивелировать риск неполучения прогнозируемого результата невозможно, так как и на диверсифицированное производство влияют макроэкономические факторы (инфляция, состояние отрасли, конкуренция и т.п.).
Для принятия инвестиционных решений инвестор должен: измерить риск (или хотя бы ранжировать активы по степени риска); выявить, каким образом риск влияет на цену актива и его доходность. Так как предполагается, что инвестор — противник риска, за больший риск он будет требовать большей компенсации.

В данной главе рассматриваются различные подходы к определению премии за риск.






