К основным свойствам текстильных нитей относятся линейная плотность, число кручений, разрывная нагрузка, разрывное удлинение и неравномерность показателей по перечисленным характеристикам.
Линейная плотность нитей (пряжи), как и волокон, характеризуется массой, приходящейся на единицу длины. Самая тонкая
шелковая пряжа имеет линейную плотность 5 текс, наиболее толстая шерстяная пряжа - 670 текс.
Толщину нити или тонину (линейную плотность или метрический номер) определяют путем взвешивания ее на весах или на специальном приборе - квадранте (на нем взвешивается стометровая пасма нити).
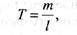
Линейная плотность (текс) и номер нитей, скрученных из одинаковых составляющих, определяются по формуле

где Г-линейная плотность, текс; т - масса волокна или нити, г; / - длина волокна или нити, км.
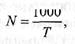
Для оценки тонины нитей можно пользоваться также метрическим номером (АО, величиной, обратной линейной плотности:
1 Л/-*/Ч

где N- метрический номер;
Г-линейная плотность, текс.
Диаметр нитей может определяться с помощью микрометра, толщиномера или расчетным путем по линейной плотности.
|
|
|
Крутка нити (пряжи) характеризуется числом кручений (витков) периферического слоя нити на единицу его длины (1 м). Определение крутки производится на специальном приборе -круткомере обычно раскручиванием образца до параллельного расположения волокон или составляющих нитей. В зависимости от направления витков различают правую и левую крутку. Если раскручивание производится правой рукой от себя, крутка считается правой и обозначается латинской буквой 2, Левая крутка обозначается латинской буквой 5.
Разрывная нагрузка нити характеризуется наибольшим усилием (сЯ), выдерживаемым нитью к моменту разрыва. Определение разрывной нагрузки производится путем разрыва одной нити или всего мотка (пасмы) на разрывной машине.
Глава 2
Текстильные товары
Разрывное удлинение определяется на разрывной машине одновременно с разрывной нагрузкой и характеризуется приращением длины к моменту разрыва.
ФОРМИРОВАНИЕ СВОЙСТВ ТКАНЕЙ В ПРОЦЕССЕ ТКАЧЕСТВА
Текстильная ткань - изделие, полученное на ткацком станке двумя системами нитей: продольными (основа) и поперечными (уток), расположенными взаимно перпендикулярно и связанными друг с другом переплетением.
Ткачеству принадлежит основная роль в формировании структуры тканей, которая является важнейшим фактором, определяющим свойства тканей и их ассортимент.
Выработку ткани проводят в три этапа:
- подготовка основы и утка;
- изготовление ткани на ткацком станке;
- разбраковка изготовленной ткани.
На первом этапе нити основы и нити утка подготавливают к процессу ткачества. Подготовка заключается в перемотке поступивших с прядильного производства нитей в паковки, удобные для заправки в ткацкий станок.
|
|
|
Подготовка основы состоит из следующих операций: перематывание, снование, шлихтование и пробирание отдельных нитей в детали ткацкого станка.
Перематывание нитей основы с прядильных початков или мотков на бобины цилиндрической или конической формы проводят на мотальных машинах. При этом получают паковки нитей большой длины, очищают нити от посторонних примесей и ликвидируют слабые места нитей.
Снование заключается в том, что нити основы с большого числа бобин (до 600 и более) наматывают параллельно друг другу с одинаковым натяжением на одну большую катушку - сновальный вал. Нити основы со сновального вала подаются на шлихтование.
Шлихтованием называют проклеивание нитей основы специальным клеящим веществом - шлихтой. Шлихтование придает нитям гладкость, прочность. Это крайне важно для того, чтобы предотвратить обрывы нитей основы в процессе ткачества от истирания о детали ткацкого станка. Рецептура шлихты включает в себя клеящие, смягчающие, антисептические вещества, а также смачиватели - вещества, придающие нитям гигроскопичность.
Проборкой называют продевание (пробирание) нитей основы в детали ткацкого станка.
Подготовка утка к ткачеству - более простой процесс, заключающийся в перемотке нитей на специальные деревянные челночные шпули и увлажнении нитей. При работе на бесчелночных станках уточная нить используется в бобинах.
На втором этапе осуществляется изготовление ткани на ткацком станке. Ткань образуется из двух или нескольких систем нитей основы и утка, переплетающихся между собой в заданном порядке. Необходимым условием для образования ткани является разделение нитей основы на две части - верхнюю и нижнюю, для прокладывания между ними уточной нити используют механический, гидравлический, пневматический или смешанный способы.
Ткацкие переплетения образуются пересечением взаимно перпендикулярных систем нитей: основных и уточных. Ткани могут быть образованы из двух, трех или нескольких систем нитей.
Различают четыре класса ткацких переплетений: простые (полотняное, саржевое и атласно-сатиновое); мелкоузорчатые (производные и комбинированные); сложные, образованные из трех и более систем нитей; крупноузорчатые, которые делятся на простые и сложные (рис. 2.3).
Повторяющийся рисунок ткацкого переплетения называется раппортом. Раппорт характеризуется количеством нитей, которые его образуют.
В тканях, не имеющих начеса, ткацкое переплетение является важнейшим фактором, определяющим блеск, рельефность (фактуру) лицевой стороны. Эстетические, механические, гигиенические и технологические свойства ткани в значительной степени зависят от вида ткацкого переплетения. Характер ткацкого переплетения,
Глава 2
Текстильные товары
|
Рис. 2.3. Классификация ткацких переплетений
размеры и форма ткацких рисунков относятся к одному из главных признаков распознавания тканей.
В простых переплетениях раппорт по основе всегда равен раппорту по утку В пределах раппорта каждая основная нить переплетается с уточной только один раз.
Полотняное переплетение - простейшее и наиболее распространенное, в котором основные и уточные нити чередуются через одну (рис. 2.4). Схема полотняного переплетения напоминает шахматную доску. Число нитей в раппорте по основе и по утку не меньше двух (Йо = и = 2). В полотняном переплетении наиболее короткие перекрытия, поверхность ткани обычно ровная, одинаковая с двух сторон. Полотняным переплетением
вырабатываются ткани различного волокнистого состава и назначения: ситец, бязь, миткаль, батист, маркизет, крепдешин, креп-шифон, креп-жоржет, креп-марокен, шерстяное сукно, льняные полотна и др.
|
|
|
Полотняное переплетение придает ткани наибольшую прочность и при большой плотности повышенную жесткость.
В тканях полотняного переплетения, имеющих основу значительно тоньше, чем уток, возникает поперечный рубчик по типу репсового переплетения. Такие ткани (поплин, хлопчатобумажная тафта и др.) называются ложнорепсовыми.
Саржевое переплетение образует характерный рубчик, идущий по диагонали ткани снизу вверх слева направо (рис. 2.5). Отличительные особенности саржевого переплетения:
|
| Рис. 2.4. Полотняное переплетение |
|
| Рис. 2.5. Саржа уточная |
- число нитей в раппорте не меньше трех (До = К = 3);
- при каждой последующей прокидке уточной нити ткацкий ри
сунок сдвигается на одну нить.
Глава 2
Текстильные товары
Раппорт саржевого переплетения обозначается дробью: числитель показывает число основных перекрытий в пределах раппорта, а знаменатель - число уточных перекрытий. Раппорт саржи равен сумме цифр числителя и знаменателя. Если на лицевой поверхности ткани саржевого переплетения преобладают основные нити, саржа называется основной (рис. 2.6), например саржа 2/1, 3/1, 4/1 и др.
Если на лицевой поверхности ткани преобладают уточные нити, то саржа называется уточной, например саржа 1/2, 1/3, 1/4.
Рубчик в тканях саржевых переплетений на лицевой поверхности обычно идет слева направо, но в некоторых тканях может иметь противоположное направление (обратное саржевое переплетение). Угол наклона рубчика зависит от раппорта переплетения, толщины нитей, плотности основы и утка. В равноплотных саржевых тканях, имеющих основу и уток одинаковой толщины, рубчик обычно идет под углом 45°.
Особенности сатинового (атласного) переплетения: при каждой следующей прокладке уточной нити ткацкий рисунок сдвигается не менее чем на две нити (а не на одну, как в полотняном или саржевом переплетении). Минимальное число нитей в раппорте - пять (#о = К = 5).
|
|
|
Сатиновые и атласные переплетения позволяют придать тканям гладкую, блестящую лицевую поверхность.
Лицевой застил в тканях сатиновых переплетений образуется из уточных нитей, в тканях атласных переплетений - из основных нитей. Например, в пятиниточном сатиновом пере-
плетении каждая уточная нить перекрывает четыре нити из пяти основных. При каждой последующей прокладке уточной нити производится сдвиг перекрытий на две (рис. 2.7) или на три нити. Атласное переплетение - негатив сатинового: каждая основная нить перекрывает четыре нити из пяти уточных (рис. 2.8). Наибольшее распространение имеют сатин и атлас с раппортами 5, 8, 10.
Сатиновыми и атласными переплетениями вырабатывают такие ткани, как сатин, атлас, ластик, корсетные ткани и др.
Удлиненные перекрытия придают этим тканям устойчивость к трению, но слабое закрепление длинных перекрытий в структуре ткани увеличивает их осыпаемость.
|
| Рис. 2.7. Сатин5/2 |
Мелкоузорчатые переплетения подразделяются на производные и комбинированные. Это наиболее многочисленный класс ткацких переплетений. Такие переплетения создают на тканях несложные рисунки в виде рубчиков, полос, "елочек", квадратиков, ромбов и т. д. Размеры рисунков обычно не превышают 1 см.
|
|
Рис. 2.6. Саржа основная
Рис. 2.8. Атлас 8/3
Глава 2
Текстильные товары
В отличие от простых переплетений в мелкоузорчатых раппорты по основе и по утку могут быть различными.
Производные переплетения образуются путем изменения, усложнения простых переплетений.
К производным полотняного переплетения относятся репсовое переплетение и рогожка.
Репсовое переплетение образуется по типу полотняного, но с удлинением основных или уточных перекрытий. При этом несколько нитей основы или утка переплетаются как одна нить. Различают репс основный, создающий на ткани поперечный рубчик, и репс уточный.
Рогожка - двойное или тройное полотняное переплетение, в котором происходит симметричное удлинение основных и уточных нитей. Раппорт по основе в переплетении типа рогожка равен раппорту по утку. Рисунок переплетения выражен ярче, чем в полотняном.
К производным саржевого переплетения относятся усиленная, ломаная, обратная и сложная саржа.
Усиленная саржа получается при увеличенной длине перекрытий простой саржи. Ткань имеет более четкие и широкие диагональные полосы, чем в простой сарже.
Сложная, или многорубчиковая, саржа образует на лицевой поверхности ткани диагональные рубчики разной ширины.
Ломаная и обратная саржи имеют равномерно повторяющийся излом саржевой полосы под углом 90°. Рисунок переплетения напоминает елочку, поэтому ломаная и обратная саржи называются также переплетениями "в елочку".
Производные сатинов и атласов -усиленные сатины и атласы имеют добавочные перекрытия в дополнение к основному. В усиленном восьминиточном сатиновом переплетении в каждом уточном ряду чередуются два основных и шесть уточных перекрытий.
Комбинирован} 1ые переплетения образуются чередованием или комбинированием простых переплетений. К комбинированным переплетениям относятся продольно- и поперечнополосатые, креповые, рельефные и просвечивающие.
Продольно- и поперечнополосатые переплетения образуются чередованием или сочетанием простых переплетений в виде продольных и поперечных полос, клеток или мелких геометрических рисунков.
Креповые переплетения придают ткани характерную мелкозернистую поверхность, которая имитирует эффект, создаваемый нитями креповой крутки в шелковых тканях. Креповые переплетения можно получить произвольным удлинением перекрытий простого переплетения или наложением двух простых переплетений.
Рельефные переплетения имеют характерную выпуклость контуров рисунков, созданную выступающими основными или уточными нитями. К рельефным переплетениям относятся вафельные, диагоналевые и рубчиковые.
Просвечивающими переплетениями вырабатываются разнообразные блузочные, сорочечные, платьевые ткани ажурной структуры или ткани с включением ажурных участков (полосок, квадратиков, имитаций мережек).
Сложные переплетения. Этот класс переплетений отличается разнообразием. Наибольшее распространение из них получили двухлицевые, двухслойные пике, ворсовые, перевивочные переплетения. Ткани вырабатывают из нескольких (трех и более) систем основных и уточных нитей. Дополнительные системы нитей при выработке этих тканей вводятся для увеличения толщины, плотности, улучшения теплозащитных свойств.
Двухлицевые (полутораслойные) переплетения образуются тремя системами нитей: две основы и один уток или два утка и одна основа. Наличие второй системы основных или уточных нитей позволяет вырабатывать ткани, имеющие на лицевой и изнаночной сторонах нити различного качества и цвета. Применяя разноокра-шенные системы, можно получить ткани, имеющие разный цвет лица и изнанки.
Двухслойные переплетения состоят из четырех или пяти систем нитей, переплетающихся плотно между собой или образующих две ткани, соединенные одной из четырех систем или дополнительной пятой системой. Лицевая и изнаночная стороны тканей Двухслойных переплетений могут состоять из одинаковых нитей
Глава 2
Текстильные товары
или нитей, различных по волокнистому составу, качеству, строению или окраске.
Двухлицевые и двухслойные переплетения применяются для выработки драпов, некоторых шерстяных пальтовых тканей, хлопчатобумажной байки, сатина-трико.
Переплетение пике состоит из трех систем нитей: на лицевой поверхности ткани две системы образуют полотняное переплетение, третья стягивает его, создавая выпуклые узоры. У хлопчатобумажных пике обычно имеется выпуклый продольный рубчик, иногда выпуклые орнаменты. Переплетением пике вырабатывают ткани для детских изделий, покрывал и др.
Ворсовое переплетение образуется из трех систем нитей: одна система ворсовая, образующая на лицевой поверхности разрезной вертикально стоящий ворс, и две коренные - основа и уток. Переплетение коренных систем полотняное или саржевое. Благодаря высокой плотности коренные системы хорошо удерживают ворс. Ворсовая система может быть уточной, и тогда получают уточноворсовые ткани, такие как хлопчатобумажные полубархаты, вельветы. Ворс может вырабатываться из нитей основы, и тогда изготавливают основоворсовые ткани, такие как шелковые ворсовые бархат, велюр, плюш и мех на тканой основе. Ворс на поверхности тканей и изделий ворсовых переплетений может быть коротким или длинным, сплошным или рисунчатым в виде ворсовых продольных рубчиков различной ширины, полос, мелких ворсовых рисунков в пределах широких ворсовых полос, крупных ворсовых узоров.
Петельное (махровое) переплетение является разновидностью ворсового переплетения. На поверхности тканей махровых переплетений двусторонний ворс в виде неразрезных петель образуется из системы основных нитей, которая вырабатывается между коренными основой и утком. Махровым переплетением вырабатываются махровые ткани для полотенец, купальных халатов, простынь, пляжных ансамблей и некоторые мебельно-декоративные ткани.
Перевивочные (ажурные) переплетения образуют просвечивающие ячейки, придающие тканям прозрачность. В простейших перевивочных переплетениях две основы (стоевая и перевивочная)
и один уток. Стоевая основа обвивается перевивочной то с одной, то с другой стороны. Перевивочными переплетениями вырабатываются разнообразные блузочные, сорочечные, платьевые ажурные ткани и ткани для занавесей.
Крупноузорчатые переплетения имеют большой раппорт и могут быть выработаны только на жаккардовых станках. Рисунки крупноузорчатых переплетений чрезвычайно разнообразны по размерам, форме, колориту, тематике, сюжетам: геометрические и растительные орнаменты, цветочные узоры, сложно сюжетные композиции в панно, картинах, гобеленах, коврах и т. д. Крупноузорчатые переплетения делятся на простые и сложные.
Простые крупноузорчатые переплетения образуются из двух систем нитей и применяются для выработки скатертей, салфеток, льняных и полульняных полотенец и разнообразного ассортимента тканей, шерстяных платьевых и некоторых пальтовых тканей; портьерных, декоративных, нарядных бельевых и т. д.
Сложные крупноузорчатые переплетения образуются из трех и более систем нитей и могут иметь разнообразные по фактуре узоры: ворсовые, петельные, рельефные, плоские многоцветные и др. Сложными крупноузорчатыми переплетениями вырабатываются ковры, гобелены, пикейные покрывала, мебельно-декоративные ткани, разнообразный ассортимент тканей для одежды.
ФОРМИРОВАНИЕ СВОЙСТВ ТЕКСТИЛЬНЫХ МАТЕРИАЛОВ В ПРОЦЕССЕ ОТДЕЛКИ
Отделка тканей - совокупность химических и физико-механических операций, в результате которых из суровой ткани вырабатывается готовая ткань. Суровой называется ткань, снятая с ткацкого станка и не прошедшая операций отделки.
Цель отделки тканей - облагораживание их внешнего вида и улучшение свойств. Отделка тканей зависит от их волокнистого состава и назначения.
Процесс отделки состоит из следующих этапов: — предварительная отделка;
Товароведение и экспертиза промышленных товаров.
Глава 2
Текстильные товары
- колористическая отделка (крашение и печатание);
- заключительная отделка;
- специальная отделка (соответствующая назначению ткани).
В свою очередь каждый этап состоит из ряда физико-меха
нических и химических операций. Волокнистый состав тканей
обусловливает содержание этих операций и последовательность
их выполнения.