Существуют более сложные установившиеся режимы в системах автоматического управления, нежели рассмотренные ранее, поэтому при качественном анализе точности регулирования в сложных случаях применяют метод коэффициентов ошибок.
Метод коэффициентов ошибок состоит в приближенной замене передаточной функции от ошибки, которая вызвана воздействием входного параметра u(t) в окрестностях точки
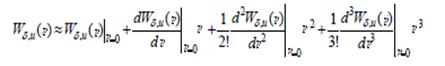
р = 0. Данное значение передаточной функции в области оригиналов при t = ∞ будет соответствовать ряду Маклорена (частному случаю ряда Тейлора при р0 = 0), и может быть выражено в следующем виде:
(2.78.)
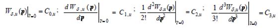
Введем следующие обозначения и заменим:
(2.79.)
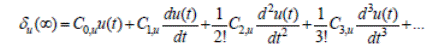
В таком случае изображение ошибки можно будет выразить, как:
(2.80.)
а значит, оригинал ошибки будет представлен подобным образом:
(2.81.)
Следует напомнить, что выражение (2.81.), имеет смысл только при t → ∞.
Коэффициенты выражения (2.81.) являются коэффициентами ошибок, причем различают:
C0,μ - коэффициент статической ошибки;
C1,μ - коэффициент скоростной ошибки;
C2,μ - коэффициент ошибки от ускорения;
C3,μ - коэффициент ошибки по первой производной от ускорения.
Значения коэффициентов ошибок находятся в прямой зависимости от вида передаточных функций.






