Дано:
yз(t) = at, f (t) = f0 = const, W1(р) = k1 /р, W2(р) = k2 /Тр+1, W3(р) = kf .
Структурная схема системы программного управления представлена на рисунке 85.

Рис.85. Структурная схема системы программного управления
Решение:
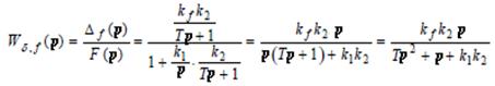
На основании структурной схемы системы выразим передаточные функции:
(2.82.)
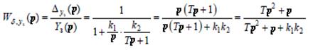
и
(2.83.)
Коэффициенты ошибок (составляющие изображения ошибки) будут выражены в следующем виде:
(2.84.)
(2.85.)
(2.86.)
Оригинал ошибки будет выражаться в виде:
(2.87.)
На основании полученных выражений можно сделать вывод, что система является астатической как по задающему воздействию yз(t), таки по возмущающему воздействию f(t). Система имеет установившуюся ошибку по скорости изменения задания, графическое представление которой изображено на рисунке 86. На рисунке 86 также изображен характер изменения ошибки.

Рис.86. Ошибка системы по скорости изменения задания:
а) характер изменения входного y з(t) и выходного y (t) параметров
б) характер изменения ошибки δ (∞)
На рисунке 86а видно, что с течением времени ошибка δ (∞) принимает постоянное установившееся значение.






