Имеются следующие данные о наличии и движении основных производственных фондов организаций за год, млн.руб.:
Полная первоначальная стоимость на начало года…………………….50,2
В течение года:
– введено новых……………………………………………………………7,8
– выбыло по стоимости за вычетом износа....………………………….0,45
– полная стоимость выбывших фондов…………………………………..4,8
Износ основных фондов на начало года, %................................................20
Годовая норма амортизации, %...................................................................10
По приведённым данным:
1. Постройте баланс основных производственных фондов по полной стоимости, по данным этого баланса рассчитайте показатели движения основных фондов.
2. Постройте баланс основных фондов по остаточной стоимости, по данным этого баланса рассчитывайте коэффициенты состояния основных производственных фондов на начало и конец года.
Сделайте выводы.
Решение:
1. Баланс основных фондов по полной стоимости:
Таблица 5.4
| Наличие на начало года | Поступило | Выбыло | Наличие на конец года | ||
| Всего | Из них новых | Всего | В том числе ликвидиров. | ||
| 50,2 | 7,8 | 7,8 | 4,8 | 53,2 |
(млн. руб.)
|
|
|
К показателям движения основных фондов относятся коэффициенты поступления, обновления и выбытия:


2. Баланс по остаточной стоимости:
Таблица 5.5
| Наличие на начало года | Поступило | Выбыло | Амортизация | Наличие на конец года | ||
| Всего | В том числе новых | Всего | В том числе ликвидир. | |||
| 40,16 | 7,8 | 7,8 | 0,45 | 5,02 | 42,49 |
(млн. руб.)

(млн. руб.)



При сравнении коэффициентов, характеризующих состояние основных фондов, следует обратить внимание на то, что износ основных фондов незначительно уменьшился (20-18,2=1,8%) благодаря вводу в действие новых фондов.
Показатели эффективности использования ОФ:
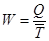
1. Фондоотдача (V).
, где Q – объем продукции в денежном выражении,
– полная среднегодовая стоимость основных фондов.
Фондоотдача показывает, сколько продукции в денежном выражении произведено на 1 рубль стоимости основных фондов. Чем лучше используются основные фонды, тем выше показатель фондоотдачи.
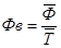
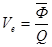
2. Фондоемкость (Vе)
.
Фондоемкость характеризует стоимость ОФ, приходящуюся на 1 рубль произведенной продукции. Является обратной величиной к фондоотдаче. Снижение фондоемкости означает экономию труда, овеществленного в основных фондах.
3. Фондовооруженность труда
, где–
среднесписочная численность рабочих.
4. Производительность труда (выработка).
.
Связь показателей:
.
Таким образом, для повышения эффективности производства необходимо обеспечить опережающий рост производства продукции Q по сравнению с ростом стоимости ОФ –
или опережающий рост производительности труда W по сравнению с ростом его фондовооруженности Фв.
|
|
|