Принцип действия трансформатора основан на явлении электромагнитной индукции (взаимоиндукции). Взаимная индукция состоит в наведении ЭДС в индуктивной катушке при изменении тока другой катушке.
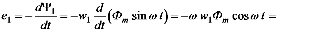
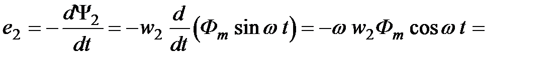
Под воздействием переменного тока в первичной обмотке в магнитопроводе создается переменный магнитный поток

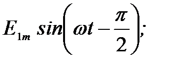
который пронизывает первичную и вторичную обмотки и индуктирует в них ЭДС


где
– амплитудные значения ЭДС.
Действующее значение ЭДС в обмотках равны
;
.
Отношение ЭДС обмоток называется коэффициентом трансформации
.
Если
, то вторичная ЭДС меньше первичной и трансформатор называется понижающим, при
– трансформатор повышающий.






