

Так как мы рассматриваем идеальный трансформатор, т.е. без рассеяния и потерь мощности, то ток х.х. является чисто намагничивающим –
, т.е. он создаёт намагничивающую силу
, которая создаёт поток
, где
– магнитное сопротивление сердечника, состоящее из сопротивления стали и сопротивления в стыках сердечника. Как амплитуда, так и форма кривой тока зависят от степени насыщения магнитной системы. Если поток изменяется синусоидально, то при ненасыщенной стали кривая тока холостого хода практически тоже синусоидальна. Но при насыщении стали кривая тока всё более отличается от синусоиды (рис. 2.7.) Кривую тока х.х. можно разложить на гармоники. Так как кривая симметрична относительно оси абсцисс, то ряд содержит гармонические только нечётного порядка. Первая гармоника тока i( 01) совпадает по фазе с основным потоком. Из высших гармоник сильнее всего выражена третья гармоника тока i( 03).
Рис 2.7 Кривая тока Х.Х
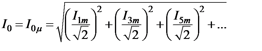
Действующее значение тока холостого хода:
. (2.22)
Здесь I 1 m, I 3 m, I 5 m – амплитуды первой, третьей и пятой гармоник тока холостого хода.
Так как ток холостого хода отстаёт от напряжения на 90°, то активная мощность, потребляемая идеальным трансформатором из сети, тоже равна нулю, т.е. идеальный трансформатор потребляет из сети чисто реактивную мощность и намагничивающий ток.
Векторная диаграмма идеального трансформатора представлена на рис. 2.8.
| Рис. 2.8. Векторная диаграмма идеального трансформатора |