В реальном трансформаторе существуют рассеяние, и потери в стали и в меди. Эти потери покрываются за счёт мощности Р 0, поступающей в трансформатор из сети.
,
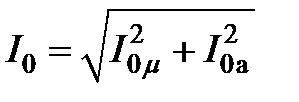
где I 0а – действующее значение активной составляющей тока холостого хода.
Следовательно, ток холостого хода реального трансформатора имеет две оставляющие: намагничивающую –
, создающую основной поток Ф и совпадающую с ним по фазе, и активную: 
Векторная диаграмма реального трансформатора представлена на рис. 2.9.
Обычно
, поэтому на величину тока холостого хода эта составляющая влияет мало, а больше влияет на форму кривой тока и его фазу. Кривая тока холостого хода явно несинусоидальна, и сдвинута во времени относительно кривой потока на угол, называемый углом магнитного запаздывания
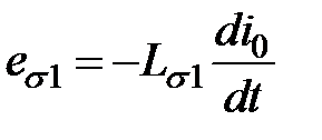
При замене действительной кривой тока холостого хода эквивалентной синусоидой, можно написать уравнение напряжений в комплексной форме, где все величины изменяются синусоидально:
, Учитывая, что ЭДС рассеяния
,
Рис. 2.9. Векторная диаграмма реального трансформатора

| Рис. 2.11. Векторная диаграмма напряжений трансформатора, режим холостого хода |