2.2.2.1 Тарылатын соплолардың шығушы қимасын анықтаймыз, мм2
(2.10)
осындаG – турбинаға бу шығыны, кг/с;
Gут – турбинаның сақиналы тығыздығы арқылы өтетін бу саны, кг/с
; (2.11)
V1t – сопло артындағы теоретикалық меншікті бу көлемі, м3/кг;
μ1 – соплолық тордың шығыны коэффициенті 0,97 тең деп алынады (кез келген қыздырумен бу үшін);
С1т – изоэнтропиялы кеңею кезінде соплолық тордан шығарда будың теоретикалық жылдамдығы, м/с.
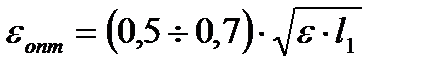
2.2.2.2 Соплолық тор биіктігіне сатының парциалдық дәрежесінің туындысы, мм,
(2.12)
осында ε – саты парциалдығының дәрежесі, жұмыс доңғалағына бу беру соплоларына қарсы орналасқан жалпы санынан жұмыс қалақшаларының үлесі;
l1 –соплолық тор биіктігі, мм;
dpc – реттеуші сатының орташа диаметрі, м;
α1 – соплолардың шығушы бұрышы (
)2.1 кестесінен алынады.
2.1кесте – турбина қуатына байланысты соплолардың шығу бұрышы
|
|
|
,
МВт
| 10-25 | 25-50 | 50-100 | 100-300 | 300-500 | 500-800 | 800 асқан | |
,
град
|
2.2.2.3 Бірвенецті саты үшін парциалдықтың оптималды дәрежесі
(2.13)
еківенецті саты үшін
(2.14)
осында
мәні сантиметрлерде берілуі керек
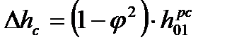
2.2.2.4. Соплолық тордың биіктігі, мм,
(2.15)
2.2.2.5 Г қосымшасына сәйкес белгілі
соплолық тор үшін таңдалады: профиль белгіленуі;
ағынының шығу бұрышы;
ағынының шығу бұрышы;
оптималды қатысты қадам;
Мах саны;
профилінің хордасы.
2.2.2.6 Таңдалған тор сипаттамасы бойынша қатысты оптималды қадам
алынады, мм
(2.16)
осында
- Г қосымшасына сәйкес профиль хордасы, мм.
2.2.2.7 Соплодағы жылу жоғалуы, кДж/кг
(2.17)
осында
- соплолық тордың нақты жылулық шығыны, кДж/кг;
- соплолық тордық жылдамдық коэффициенті, 2.4 суретіндегі
байланысына қатысты алынады.
2.2.2.8 Соплолық тордың каналының шығушы ені, мм
(2.18)
2.2.2.9 Соплолар саны
(2.19)
алынған мәнін дөңгелетіп, екі бөліктен тұратын диафрагма торлары үшін, диафрагманың әр бөлігінде соплоның бүтін саны орналасқандай етіп,
оң санын қабылдайды.
2.2.2.10
қалақшалар санының қабылданған мәніне сәйкес тордағы профильдер санын түзетеді
(2.20)
2.2.3 Кеңеюші соплоларды есептеу
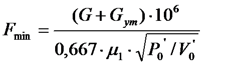
2.2.3.1 Минималды қима ауданы, мм2
(2.21)
осында
– турбинаға будың шығыны, кг/с;
– турбинаның алдыңғы сақиналы тығыздағышынан ағып шығатын бу мөлшері, кг/с
|
|
|
(2.22)
- 1.1 суретіне сәйкес сопло алдындағы бу қысымы, Па;
- 1.1 суретіне сәйкес сопло алдындағы будың теориялық меншікті бу көлемі, м3/кг.
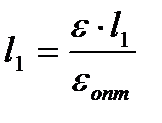
2.2.3.2 Соплолардың шығу қимасының ауданы, мм2
(2.23)
2.2.3.3 Соплолық тор каналдарының шығушы қимасының қатысты өлшемі (соплоның кеңею дәрежесі).
(2.24)
2.2.3.4 εопт, l1, Δhc, t1, а1, z1анықтау тарылатын соплоны есептеу үшін арналған формулалар бойынша жүзеге асырылады. Соплолық тор профилінің типін таңдау Г қосымшасы бойынша, мәндеріне байланысты жасалады.
2.2.3.5 Соплолық тордың минималды қимасының ені, мм

Сурет 2.4 -
-ден
бұрышының қатысынан соплолық торлары үшін жылдамдық коэффициенті

Сурет 2.5 – Бу күйі мен реакция дәрежесіне байланысты соплоық және жұмыс торларындағы шығын коэффициенті
2.3Жұмыс торының есебі
,
МВт
,
град






