2.3.1.1Ерте қабылданған (2.2.1.1) реакция дәржесін венецтер бойынша бөлу қажет
ρ = ρ1+ ρн + ρ2, (2.25)
осында
- жұмыс қалақшаларының бірінші венецінің реакция дәрежесі;
- бағыттаушы тордың реакция әрежесі;
- жұмыс қалақшаларының екінші венецінің реакция дәрежесі.
Қалақшалардағы реакция дәрежелерінің қатынасын ұсынуға болады
ρн= (2
2,5)∙ ρ1; ρ2 = 1,5 ∙ ρ1, (2.26)
осында
бірлік ретінде алынған, мысалы
, яғни
бөлшекке сай.
2.3.1.2 2.6 суретке сәйкес
нүктесінен алынатын соплода қолданатын
жылулық шығын.
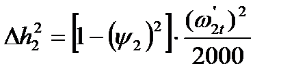
2.3.1.3. Қалақшаларда қолданатын жылулық шығын сатының қалақшалық аппаратындағы реакция дәрежесінің тарлуына сай алынады
h02pc = ρ1∙ h0pc + ρ2∙ h0pc + ρ2∙ h0pc = h021 + h02н + h022 (2.27)
is-диаграммасында бу кеңеюінің процесін құру үшін кесінділер ұштары арқылы изобаралары өткізіледі.
2.3.1.4. Қалақша торларын таңдау үшін ұшбұрыштар жылдамдығы бу ағының қадағалау сатысында элементерің анықтайды. Бұл құрлымдар жоғалуларды анықтайды қалақша аппаратарында ПӘК қатынасы қалақшасының құрамына сәйкес.
|
|
|
2.3.1.5. Ұшбұрыш жылдамдығының бірінші венец кірісінің бұрышы, жылдамдық СИ 2.7. суретке сәйкес масштаб 1 мм5 м/с
С1 = С1t∙φ, (2.28)
Абсалюттік жылдамдық буы соплдық тордың шығысы, м/с
Мұнда С теориялық жылдамдық буының шығынын соплдық торлардан изоэнтроптық кеңеюінде, м/с;
Сопл бұрышының шығысы;
Сопл торының жылдамдығының коэффициенті.
2.3.1.6 Үшбұрыш жылдамдығы кіріс графикалық үлкендігін анықтаймыз жылдамдыққа қатынасы жұмыс торына сәйкес бірінші венец бұрышы 2.7суретке сәйкес формуларымен тексереміз
(2.29)
(2.30)

Сурет 2.6 – Еківенецті реттеуші сатының жұмыс қалақшаларындағы бу кеңеюінің процесі
2.3.1.7 Шығушы жылдамдың үшбұрышы үшін бірінші венецті жұмыс торының шығар жерінен
бұрышын анықтаймыз
, (2.31)
(2.32)
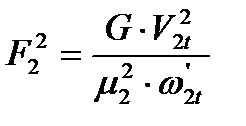
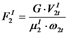
бірінші жұмыс торының шығушы ауданы, м2
(2.33)
осындаG – турбинаға бу шығыны, кг/с;
V2t1 – бірінші венецті жұмыс торынан кейін будың меншікті көлемі, м3/кг. is- диаграммасындағы бу кеңеюі процесін құру нәтижесінде анықталады, бұл келесі түрде жүзеге асырылады: 2.6 суретіне сәйкес соплодағы жылулық шығын соңынан (а нүктесі ) соплодағы шығын мөлшері
жоғары қаланады, b нүктесі арқылы энтальпия сызығы жүргізіледі –
(c нүктесі) изобарамен қиылысқанға дейін константа. Бірінші венецті жұмыс торындағы қысымды табамыз, 2.3.1.3 пунктіне сәйкес изобараға
сай. с нүктесінен изоэнтропа жіберіп,
қиылыстырып d нүктесін табамыз.
мәнін d нүктесінен өтетін изохорадан аламыз;
|
|
|
l21 – бірінші венецті жұмыс торының шығушы биіктігі, мм.
Жиі жылдамдықтың реттеуші сатысының ағынды бөлігін қалақшалардың биіктігіне қатысымен орындайды
.
Р-25-90 (ВР-25-18 и ВР-25-31) турбиналарында ХТГЗ реттеуші саты қалақшаларының биіктігінің қатынасы
.
Реттеуші еківенецті сатыда К-50-90 ЛМЗ турбина мен оған ұқсас қалақшалар биіктігі ұатынасынан табылады
(2.34)
осында
– соплолық тор биіктігі, мм;
- екінші венецті жұмыс торының биіктігі, мм;
- бірінші венецті жұмыс торының биіктігі, мм;
- бағыттаушы тор биіктігі, мм;
μ21 – бірінші венецті жұмыс соплолық торында шығын коэффициенті реакция дәрежесі мен бу күйіне байланысты 2.5 суретіне сәйкес анықталады;
- бірінші венецті жұмыс торының шығысында теоретикалық қатысты жылдамдық, м/с,
(2.35)
2.3.1.8 Бірінші венецті жұмыс торының шығысындағы жылдамдықтың нақты қатыстысы, м/с,
ω2 = ψ1∙ω2t (2.36)
осындаψ1 – активті торлар үшін жылдамдық коэффициенті
қатынасы менβ1жәнеβ2бұрыштарының өлшемінен 2.8 суретіне сәйкес анықталады.
Анықталғанω2жәнеβ2бірінші венецті жұмыс торының шығушы жылдамдық үшбұрышы құралады.
2.3.1.9 Бірінші венецті жұмыс торы үшін Мах санын анықтаймыз
(2.37)
осында
- бірінші венецті жұмыс торынан шығарда изоэнтропиялы процесс кезінде дыбыс жылдамдығы
(2.38)
осында
- изоэнтропа көрсеткіші
=1,3 (аса қызған бу үшін).
Алынған мәліметтер бойынша Г қосымшасынан бірінші венецті жұмыс торын таңдаймыз.
2.3.1.10 Шығушы жылдамдық үшбұрышынан бу шығуының абсолютт жылдамдығы С2және абсолютті қозғалыс кезінде ағын шығуының бұрышы α2графикалық анықталады және формула бойынша тексеріледі
(2.39)
(2.40)
(2.41)
2.3.1.11 бірінші венецті жұмыс торындағы жылу шығынын анықтаймыз, кДж/кг,
(2.42)

Сурет 2.7 – Реттеуші сатыдағы бу ағыны үшін жылдамдық үшбұрышы
2.3.1.12 Екінші венецтің шығушы жылдамдық үшбұрышы
бұрышы,
жылдамдықтары және айналысU 2.7 сәйкесанықталады.
Бағыттаушы тордан шығарда теоретикалық жылдамдық, м/с,
(2.43)
Бағыттаушы тордан шығарда
нақты жылдамдық, м/с,
(2.44)
Жылдамдық коэффициенті ψн график бойынша 2.8 суретіне сәйкесl2н и α2/ α1/ қатысты анықталады.
Бағыттаушы тордан бу ағынының α1/шығу бұрышы анықталады
(2.45)
(2.46)
осында
- пуктке сай бағыттаушы тордың шығу биіктігі.
2.3.1.7. Бұрылу торының шығушы ауданы, м2,
(2.47) 
осындаV2tн – 2.6 суретіне сәйкес теоретикалық процесте бағыттаушы тордан кейін меншікті көлем. V2tнбу кеңеюінің процесін құру бойынша келесі операциялардан кейін анықталады: бірінші венецті жұмыс торындағы Δh21шығындардың “d” нүктесінен нүктесіне дейін “f” жинақталуы, “f” нүктесі арқылы энтальпия – константа сызығында “n” нүктесінен Р
изобарасымен қиылысқанға дейін жинақталады. “n” нүктесінен изоэнтропа бойынша
изобарасымен қиылысқанға дейін сызықты саламыз (бағыттыаушы тордан кейінгі қысым) 2.3.1.3 пунктіне сәйкес,“m” нүктесін аламыз. “m” нүктесі арқылы өтетін изохора, V2tн –бағыттаушы тордан кейінгі меншікті көлем болып табылады.
- бағыттаушы тордың шығын коэффициенті, бу күйі мен реакция дәрежесіне байланысты 2.5 суретіне сәйкес табылады;
- бағыттаушы тордың шығу жылдамдығы, 2.3.1.7 пунктіне сай анықталады.
|
|
|
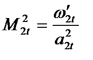
2.3.1.13 бағыттаушы тор үшін Мах санын табамызя:
(2.48)
осында
- бағыттаушы тордан шығарда изоэнтпропиялы процесс кезінде дыбыс жылдамдығы, м/с,
(2.49)
осындаk=1,3 (изоэнтропа көрсеткіші).

d/l1>10; d/l1<4
Сурет 2.8-b/l және
тордағы ағынның бұрылу бұрышына қатысты жұмыс торларының жылдамдық коэффициенті
2.3.1.14 Табылған параметрлер бойынша бағыттаушы торды табамыз.
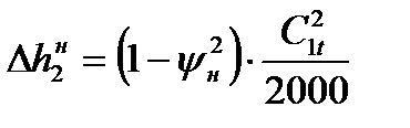
2.3.1.15 Бағыттаушы тордағы жылу шығынының мөлшерін анықтаймыз, кДж/кг,
(2.50)
Шығын мөлшері изоэнтпропа бойынша “m” нүктесінен жоғары және Δh2нкесіндісінің ұшы арқылы алынады – ‘k” нүктесі арқылы нақты процесте бағыттаушы тордан кейінгі бағыттаушы тордың қысымына Р
сәйкес изобарамен қиылысқанға дейін салынады.Қиылысу нүктесі - P, екінші венецті жұмыс торындағы процесстің басталу нүктесі болып табылады. PJ кесіндісі екінші венецті жұмыс торындағы бар жылулық шығынға h02н сәйкес болып табылады.
2.3.1.16 Екінші венецтің жылдамдықтың кіруші үшбұрышынан қатысты жылдамдық
, кіруші бұрыш
анықталады және графикалық формулалар бойынша тексеріледі
(2.51)
(2.52)
2.3.1.17 Екінші венецтің жылдамдығының кіруші үшбұрышынан жұмыс торынан шығарда будың жылдамдығы
және бұрыш
аынқталады
(2.53)
Екінші венецтің жұмыс торының шығушы ауданы, м2,
(2.54)
ОсындаG – турбинаға бу шығыны, кг/с;
V2t2 – is – диаграммада процесс құрылуы бойынша анықталады (“J” нүктесі) 2.6 суретіне сәйкес;
– екінші венецтің жұмыс торының шығын коэффициенті,
|
|
|
ρ2реакция дәрежесі мен бу күйіне байланысты, 2.5 суретіне сәйкес анықталады;
l22 – екінші венецтің жұмыс торының шығушы биіктігі (2.3.1.7 пунктіне сәйкес анықталады), мм;
2t/– Қатысты қозғалыста екінші венецтің жұмыс торынан шығарда будың теоретикалық жылдамдығы, м/с,
(2.55)
осында ρ2 – степень реакции второго венца рабочих лопаток;
h0рс – реттеуші сатының бар жылулық ауысымы.
Екінші венецті жұмыс торынан шығарда будың нақты жылдамдығы, м/с,
(2.56)
осында ψ2 – жылдамдық коэффициенті, 2.8 суретіне сай анықталады.
2.3.1.19 Анықталған
мен
бойынша екінші венецтің жылдамдықтың шығушы үшбұрышы құралады. Екінші венецті жұмыс торы үшін Мах санын табамыз
(2.57)
осында
- екінші венецті жұмыс торынан шығарда изоэнтропты процесс кезінде дыбыс жылдамдығы
(2.58)
2.3.1.20 Табылған параметрлер бойынша екінші венецтің жұмыс торының типін таңдаймыз.
2.3.1.21 Екінші венецті жұмыс торындағы жылу шығыны, кДж/кг,
(2.59)
Δh22шығын өлшемі изоэнтропа бойынша ‘J’ нүктесінен жоғары жүргізіледі және Δh22 кесіндінің ұшынан - “q” нүктесінен Р2рс изобарасымен қиылысқанға дейін екінші венецті жұмыс торының нақты процесінде энтальпия сызығы өткізіледі. z нүктесі – 2.6 суретіне сәйкес шығындарды ескерумен екінші венецтегі процесс соңының нүктесі.
2.3.1.22 Екінші венецті жұмыс торының жылдамдықтың шығушы үшбұрышынан абсолютті шығушы жылдамдық С2/пен шығу бұрышы α2/графикалық анықталады және формула бойынша тексеріледі
tgα2/ =
(2.60)
(2.61)
Сатының жоғары тиімділігін қамтамасыз ету үшін
бұрышын алу қажет.
2.3.1.23 Шығушы жылдамдықпен жылу шығынын анықтаймыз, кДж/кг,
Δhв.с. =
(2.62)
2.3.1.24 Қалақшалы тордың профильдерін таңдау β1жәнеβ2, α2жәнеα1/, β1/жәнеβ2/ белгілі бұрыштары мен Мах саны бойынша жасалады. Сатының типтік сатылары Г қосымшасында көрсетілген.
2.3.1.25 Тордың қатысты адымдары tопт бойынша нақты адымдар t анықталады, мм,
а/ соплолық торtс = bc∙tсопт;
б/ бірінші венецті жұмыс торыt1 = b1∙t1опт;
в/ бағыттаушы торtн = bн∙tнопт;
г/ рабочей решетки второго венца t2 = b2∙t2опт.
осындаbc, b1, bн, b2–сәйкес тордың таңдалған профилінің хордалары, мм.
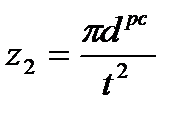
2.3.1.26 Турбина торлары үшін қалақшалар саны
а) соплолық тор
(2.63)
б) бірінші венецті жұмыс торы
(2.64)
в) бағыттаушы тор
(2.65)
г) екінші венецті жұмыс торы
(2.66)
Қалақша санының алынған мәнін ең жақын толық санға дейін жуықтатамыз.
2.3.1.27 Сатының қатысты қалақшалық ПӘК:
а/ жылу шығыны бойынша
(2.67)
б/ жылдамдық проекциялары бойынша
(2.68)
Егер сатының жылулық есебі дұрыс жасалса, онда формуладан есептелген ПӘК өлшемі 1-2 % артық емес келіспеушілігі болған жөн (0,01 - 0,02).
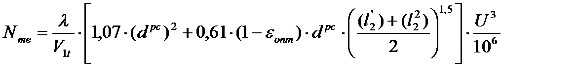
2.3.1.28 Үйкеліс пен желдетуге жылу шығынын анықтаймыз, кДж/кг,
(2.69)
ОсындаN
- үйкеліс пен желдетуге шығындалған қуат, кВт.
(2.70)
осында
-бу күйіне байланысты коэффициент (қаныққан және ылғалды бу үшін коэффициент
=1,2
1,3; аса қызған бу үшін
= 1,1
1,2);
V1t–соплодан шығарда будың меншікті көлемі, м
/кг;
опт–буды жіберу кезінде парциалдық дәрежесі;
G–турбинаға бу шығыны, кг/с.
is – диаграммасында үйкеліс пен желдетуге жылу шығынын
h
меншығушы жылдамдықпен шығын
есептеліп, реттеуші сатыға
қолданған жылуауысуды табамыз. 2.6. суретіне сәйкес
zх кесіндісіне тең,
- уzкесіндісіне; "0" нүктесі –сатыдағы процесс соңының нүктесі.
Еківенецті сатының есебі 2.2 кестеге енгізіледі.
Кесте 2.2 – Жылдамдықтың еківенецті сатысының есебінің жинақ кестесі
| Атауы | өлшем бірлігі | торлар | Ескерту | |||
| соплолық | 1-ші венецті | бағыттаушы | 2-ші венецті | |||






