2.3.2.1Бірвенецті саты еківенецті сияқты есептеледі. is-диаграммасында будың кеңею процесі 2.9. суретінде берілген.
Үшбұрыш жылдамдығы кіріс графикалық үлкендігін анықтаймыз жылдамдыққа қатынасы жұмыс торына сәйкес бірінші венец бұрышы 2.7суретке сәйкес формуларымен тексереміз
(2.29)
(2.30)
2.3.2.2Бірвенецті саты есебі кезінде.
а)
шығушы бұрышын шектерде ұстауда болады
(2.71)
б) жұмыс торының
шығушы биіктік пен
шығушы биіктікті тең деп қабылдаған жөн:
.
Жұмыс торының шығушы биіктігі, мм,
(2.72)
осындаF
- жұмыс торының шығушы ауданы, м2,
(2.73)
в)
мәні
мәнінен жоғары болуы керек, қайта жабудың жұмыс торларының бұл биіктігі үшін қабылданатын шектерде (Д қосымшасы).
V2t – бірінші венецті жұмыс торынан кейін будың меншікті көлемі, м3/кг. is- диаграммасындағы бу кеңеюі процесін құру нәтижесінде анықталады, бұл келесі түрде жүзеге асырылады: 2.6 суретіне сәйкес соплодағы жылулық шығын соңынан (а нүктесі ) соплодағы шығын мөлшері
жоғары қаланады, b нүктесі арқылы энтальпия сызығы жүргізіледі –
(c нүктесі) изобарамен қиылысқанға дейін константа. Бірінші венецті жұмыс торындағы қысымды табамыз, 2.3.1.3 пунктіне сәйкес изобараға
сай. с нүктесінен изоэнтропа жіберіп,
қиылыстырып d нүктесін табамыз.
мәнін d нүктесінен өтетін изохорадан аламыз.
|
|
|
μ21 – бірінші венецті жұмыс соплолық торында шығын коэффициенті реакция дәрежесі мен бу күйіне байланысты 2.5 суретіне сәйкес анықталады;
- бірінші венецті жұмыс торының шығысында теоретикалық қатысты жылдамдық, м/с,
(2.35)
2.3.1.8 Бірінші венецті жұмыс торының шығысындағы жылдамдықтың нақты қатыстысы, м/с,
ω2 = ψ1∙ω2t (2.36)
осындаψ1 – активті торлар үшін жылдамдық коэффициенті
қатынасы менβ1жәнеβ2бұрыштарының өлшемінен 2.8 суретіне сәйкес анықталады.
Анықталғанω2жәнеβ2бірінші венецті жұмыс торының шығушы жылдамдық үшбұрышы құралады.
2.3.1.9 Бірінші венецті жұмыс торы үшін Мах санын анықтаймыз
(2.37)
осында
- бірінші венецті жұмыс торынан шығарда изоэнтропиялы процесс кезінде дыбыс жылдамдығы
(2.38)
осында
- изоэнтропа көрсеткіші
=1,3 (аса қызған бу үшін).
Алынған мәліметтер бойынша Г қосымшасынан бірінші венецті жұмыс торын таңдаймыз.
2.3.1.10 Шығушы жылдамдық үшбұрышынан бу шығуының абсолютт жылдамдығы С2және абсолютті қозғалыс кезінде ағын шығуының бұрышы α2графикалық анықталады және формула бойынша тексеріледі
|
|
|
(2.39)
(2.40)
(2.41)
2.3.1.11 бірінші венецті жұмыс торындағы жылу шығынын анықтаймыз, кДж/кг,
(2.42)

Сурет 2.7 – Реттеуші сатыдағы бу ағыны үшін жылдамдық үшбұрышы
2.3.1.12 Екінші венецтің шығушы жылдамдық үшбұрышы
бұрышы,
жылдамдықтары және айналысU 2.7 сәйкесанықталады.
Бағыттаушы тордан шығарда теоретикалық жылдамдық, м/с,
(2.43)
Бағыттаушы тордан шығарда
нақты жылдамдық, м/с,
(2.44)
Жылдамдық коэффициенті ψн график бойынша 2.8 суретіне сәйкесl2н и α2/ α1/ қатысты анықталады.
Бағыттаушы тордан бу ағынының α1/шығу бұрышы анықталады
(2.45)
(2.46)
осында
- пуктке сай бағыттаушы тордың шығу биіктігі.
2.3.1.7. Бұрылу торының шығушы ауданы, м2,
(2.47) 
осындаV2tн – 2.6 суретіне сәйкес теоретикалық процесте бағыттаушы тордан кейін меншікті көлем. V2tн бу кеңеюінің процесін құру бойынша келесі операциялардан кейін анықталады: бірінші венецті жұмыс торындағы Δh21шығындардың “d” нүктесінен нүктесіне дейін “f” жинақталуы, “f” нүктесі арқылы энтальпия – константа сызығында “n” нүктесінен Р
изобарасымен қиылысқанға дейін жинақталады. “n” нүктесінен изоэнтропа бойынша
изобарасымен қиылысқанға дейін сызықты саламыз (бағыттыаушы тордан кейінгі қысым) 2.3.1.3 пунктіне сәйкес,“m” нүктесін аламыз. “m” нүктесі арқылы өтетін изохора, V2tн – бағыттаушы тордан кейінгі меншікті көлем болып табылады.
- бағыттаушы тордың шығын коэффициенті, бу күйі мен реакция дәрежесіне байланысты 2.5 суретіне сәйкес табылады;
- бағыттаушы тордың шығу жылдамдығы, 2.3.1.7 пунктіне сай анықталады.
2.3.1.13 бағыттаушы тор үшін Мах санын табамызя:
(2.48)
осында
- бағыттаушы тордан шығарда изоэнтпропиялы процесс кезінде дыбыс жылдамдығы, м/с,
(2.49)
осындаk=1,3 (изоэнтропа көрсеткіші).

d/l1>10; d/l1<4
Сурет 2.8-b/l және
тордағы ағынның бұрылу бұрышына қатысты жұмыс торларының жылдамдық коэффициенті
2.3.1.14 Табылған параметрлер бойынша бағыттаушы торды табамыз.
2.3.1.15 Бағыттаушы тордағы жылу шығынының мөлшерін анықтаймыз, кДж/кг,
(2.50)
Шығын мөлшері изоэнтпропа бойынша “m” нүктесінен жоғары және Δh2нкесіндісінің ұшы арқылы алынады – ‘k” нүктесі арқылы нақты процесте бағыттаушы тордан кейінгі бағыттаушы тордың қысымына Р
сәйкес изобарамен қиылысқанға дейін салынады.Қиылысу нүктесі - P, екінші венецті жұмыс торындағы процесстің басталу нүктесі болып табылады. PJ кесіндісі екінші венецті жұмыс торындағы бар жылулық шығынға h02н сәйкес болып табылады.
2.3.1.16 Екінші венецтің жылдамдықтың кіруші үшбұрышынан қатысты жылдамдық
, кіруші бұрыш
анықталады және графикалық формулалар бойынша тексеріледі
(2.51)
(2.52)
2.3.1.17 Екінші венецтің жылдамдығының кіруші үшбұрышынан жұмыс торынан шығарда будың жылдамдығы
және бұрыш
аынқталады
(2.53)
Екінші венецтің жұмыс торының шығушы ауданы, м2,
(2.54)
Осында G – турбинаға бу шығыны, кг/с;
V2t2 – is – диаграммада процесс құрылуы бойынша анықталады (“J” нүктесі) 2.6 суретіне сәйкес;
– екінші венецтің жұмыс торының шығын коэффициенті,
ρ2реакция дәрежесі мен бу күйіне байланысты, 2.5 суретіне сәйкес анықталады;
|
|
|
l22 – екінші венецтің жұмыс торының шығушы биіктігі (2.3.1.7 пунктіне сәйкес анықталады), мм;
2t/– Қатысты қозғалыста екінші венецтің жұмыс торынан шығарда будың теоретикалық жылдамдығы, м/с,
(2.55)
осында ρ2 – степень реакции второго венца рабочих лопаток;
h0рс – реттеуші сатының бар жылулық ауысымы.
Екінші венецті жұмыс торынан шығарда будың нақты жылдамдығы, м/с,
(2.56)
осында ψ2 – жылдамдық коэффициенті, 2.8 суретіне сай анықталады.
2.3.1.19 Анықталған
мен
бойынша екінші венецтің жылдамдықтың шығушы үшбұрышы құралады. Екінші венецті жұмыс торы үшін Мах санын табамыз
(2.57)
осында
- екінші венецті жұмыс торынан шығарда изоэнтропты процесс кезінде дыбыс жылдамдығы
(2.58)
2.3.1.20 Табылған параметрлер бойынша екінші венецтің жұмыс торының типін таңдаймыз.
2.3.1.21 Екінші венецті жұмыс торындағы жылу шығыны, кДж/кг,
(2.59)
Δh22шығын өлшемі изоэнтропа бойынша ‘J’ нүктесінен жоғары жүргізіледі және Δh22 кесіндінің ұшынан - “q” нүктесінен Р2рс изобарасымен қиылысқанға дейін екінші венецті жұмыс торының нақты процесінде энтальпия сызығы өткізіледі. z нүктесі – 2.6 суретіне сәйкес шығындарды ескерумен екінші венецтегі процесс соңының нүктесі.
2.3.1.22 Екінші венецті жұмыс торының жылдамдықтың шығушы үшбұрышынан абсолютті шығушы жылдамдық С2/пен шығу бұрышы α2/графикалық анықталады және формула бойынша тексеріледі
tgα2/ =
(2.60)
(2.61)
Сатының жоғары тиімділігін қамтамасыз ету үшін
бұрышын алу қажет.
2.3.1.23 Шығушы жылдамдықпен жылу шығынын анықтаймыз, кДж/кг,
Δhв.с. =
(2.62)
2.3.1.24 Қалақшалы тордың профильдерін таңдау β1және β2, α2және α1/, β1/және β2/ белгілі бұрыштары мен Мах саны бойынша жасалады. Сатының типтік сатылары Г қосымшасында көрсетілген.
|
|
|
2.3.1.25 Тордың қатысты адымдары tопт бойынша нақты адымдар t анықталады, мм,
а/ соплолық торtс = bc∙tсопт;
в/ жұмыстық торtн = bн∙tнопт;
2.3.1.26 Турбина торлары үшін қалақшалар саны
а) соплолық тор
(2.63)
б) жұмыстық тор
(2.65)
Қалақша санының алынған мәнін ең жақын толық санға дейін жуықтатамыз.
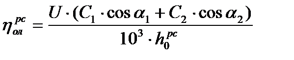
Сатының қатысты қалақшалық ПӘК
- ағынды бөлікте энергия шығын бойынша
(2.74)
- жылдамдық проекциялары бойынша
(2.75)
Басқада, бірвенецті сатының есебі еківенецті саты есебінен есептеулер көлемімен ғана ерекшеленеді.

Сурет 2.9 – Бірвенецті сатыдағы будың кеңею процесі
3 Жұмыс қалақшаларының беріктікке есебі
Жұмыс қалақшаларының тығыздыққа есебін мысалда қарастырайық.
Жылулық есептен турбинаның аралық сатысының келесі сипаттамалары шығады:
Саты алдындағы бу қысымы Р/0 8,2 МПа
Бу температурасы t0 5110С
Саты арқылы бу шығыны G 118,5кг/сек
Саты жылу шығыны hрс037кДж/кг
Сатының орташ диаметрі dрс840 мм
Айналым жиілігі n50 сек–1
Қалақша профиліР-23-14А
[К-П қосымшалар]
Қалақшалар саны z2 164
Профильдің орнатушы бұрышы
840
[Ж, И қосымшалар]
Қалақшаның жұмыс ұзындығы l242 мм
Ленталық бандаж қалыңдығы Δ3 мм
Бандаж қалақшаларының материалы сталь 15х11 мф
[Е қосымшасы]
Қалақшалық торда қысым ауысуы ΔР=Ррс1-Ррс2 0,09МПа
Абсолютті жылдамдық
- кіру С1 240,5м/сек
- бу шығуы С2 50 м/сек
Бұрыштар
- абсолютті қозғалыста бу кіруі α1 120
- абсолютті қозғалыста бу шығуы α2 900
Сатының қатысты қалақшалық ПӘК
0,845
Жоғары температура ережесінде жұмыс жасайтын қалақшалық аппарат, ротор, дискілер және басқа тетіктер мен түйіндер үшін материал ретінде дегирленген болат пайдаланылады. Легирленген болат пен никель негізіндегі ерітінділердің кейбірінің механикалық қасиеті және оларды қолдану аймағы Е қосымшасында берілген.
Турбиналық тетіктерді жасауда пайдаланатын болаттар негізгі үш топқа бөлу белгілі.
Бірінші топ 500—600 °С дейінгі температурада жұмыс жасауға арналған. Оларға көміртекті, перлитті кластың аз – және орталегирленген болат, жоғары температуралар үшін – мартенситті класс қолданылады. Бұл болаттар келесі жетістіктерге ие: жеңіл өңделеді, жақсы және пластикалық қасиеттері бар, термооңдеу көмегімен өз сипаттамаларын жақсартуға мүмкіндік береді. Олардың сызықтық кеңеюінің төмен коэффициенті мен жақсыжылуөткізгіштігі тетіктерде термикалық кернеуді төмендету мен қарқынды жылуөткізгіштікке мүмкіндік береді. Перлитті болаттардың мысалы ретінде 500 °Стемпературасында жұмыс істейтін роторларды жасау үшін қолданылатын 34ХНЗМА хромникельмолибденді болат пен 20ХЗВМФхромвольфраммолибденванадийлі болатты келтіруге болады. Ыстыққа төзімді болаттарда молибденнің0,5—1% құрамысозылғыштықтың төмендеуіне пайдалы әсер етеді, ал хромды қосу газ коррозиясына қарсы болаттың химиялық беріктігін, яғни окалинотұрақтылықты ұлғайтады.
Одан жоғары температуралар аймағында (550—600°С) өз құрамында молибден, вольфрам, ванадий, ниобийнемесе титан бар хромның 12% жоғары құрамды мартенситті кластың тотықпайтын модификацияланған болаттар қолданылады. Олар перлитті болатпен салыстырғанда жоғары ыстықтөзімділік пен окалинатөзімділікке ие. Мартенситті класстың болатына мысал ретінде 15Х12ВМФ болат алынады.
Материалдардың екінші тобы 650 — 700 °С дейін температуралар аймағында жұмыс жасауға арналған. Оған жоғары окалинатөзімділік пен созымдылыққа қарсылығы бар аустенитті класты болат қолданылады. Бұл болаттар қыздыруға сезімсіз, жоғары ыстықтөзімділікке ие және перлитті класс болаттарына қарағанда пісіруге жеңіл беріледі. Бірақ жетістіктермен қатар, аустенитті болаттардың кемшіліктері де бар, олар үшін перлиттілер немесе мартенситтілер қолдануға болатын жағдайда олардың қолданылуы. Аустенитті болаттардың кемшіліктері: олардың өңделу қиындығы, термоөңдеу әдістерімен тығыздау мүмкіндігінің жоқтығы, сонымен қатар кеңеюдің жоғары коэффициенті мен перлитті класс болаттарына қарағанда 2-4 есе төмен жылуөткізгіштігі. Осымен қатар, олардың құрамында дефицит элементтер: никель, молибден, вольфрам және т.б. болуы есесінен олар қымбаттырақ.
Аустенитті класс болаттарына мысал ретінде Х15Н35ВЗТ болатты атауға болады. Пісіруге жеңіл, бұл болат пісірілген ротор, қалақша және басқа жылукернеулі тетіктерді жасауға пайдаланылады. Вольфрам мен титанмен легирленген Х15Н35ВЗТ хромникельді болат, 650 °Стемпературада жұмыс жасайтын қалақшалар мен крепежды тетіктерді жасауда пайдаланылады.
Материалдардың үшінші тобы 650—700 °С жоғары температураларда жұмыс жасайтын тетіктерді орындауға пайдаланылады. Бұлтопқа тірлі присадкалы никель, кобальт және хром ерітінділері мен темірдің жоғары құрамы бар қоспалар кіреді. Олардың арасында қазірде кең тарағаны хромның жоғары құрамы (15—16% дейін) бар никель негізіндегі қорытпалар, мысалы ХН77ТЮР мен ХН70ВМЮТ қорытпалары. Бұл қорытпалардан газ турбиналарының қалақшалары жасалады.
Соңғыжылдары ЛМЗ бу турбиналарында өндірістік тексеру үшін тығыздығы 4500 кг/м3титанды эксперименталды қорытпалар пайдаланылад, олардан ЦНД төменгі сатыларының жұмыс қалақшалары жасалады. Қолданылатын титан қорытпаларының механикалық сипаттамасы келесідей: ағу шегіgs=710-750 МПа, беріктік шегі гв=780-860 МПа, қатысты ұзарту 6=12-14%. Бұл қатысты жеңіл қорытпалар соңғы сатылардың жұмыс қалақшаларының ұзындығы мен турбинаның шектеулі қуатын жоғарылату үшін маңызды болатын соңғы сатыдан выхлоп торецті алаңын ұлғайтуға мүмкіндік тудырады.
3.1 Қалақшаның профильді бөлігінің созылуға есебі
10 сатылары кезінде қалақшалар биіктіктері тұрақты профильмен жасалған.
Созушы күштер қалақшаның өз массасы мен бандажмассасының ортадан тепкіш күштерімен шақырылады, Н,
(3.1)
осында Сл –қалақша массасының ортадан тепкіш күші, Н;
Сб – бандаждың ортадан тепкіш күші
(3.2)
осында
– материал тығыздығы (профиль сипаттамасы бойынша),кг/м3;
f2 – қалақша профилінің көлденең қимасы ауданы, м2;
r, rб –саты мен бандаж радиустары (орташа), м2;
w – айналымның бұрыштық жылдамдығы, сек-1;
Vб – бір қалақшаға қатысты қалақшалық бандаж көлемі,м3.
Болат үшін 15х11 МФ
= 7750 кг/м3; f2 = 2,44 см2 (профиль сипаттамасы бойынша).
м
м
сек –1.
Көлем мәні формула бойынша анықталады
(3.3)
осында
см;
- бандаж адымы, м,
(3.4)
м
м3,
онда

Н.
Созылудан кернеу
МПа. (3.5)
3.2 Қалақшаның қиылысқа есебі
Жұмыс қалақшасына әсер ететін бу күші екі құраушыдан құралады: шеңберлі Рuжәне осьтік Ра

х x
у Pu
z abz
P2P0
j P1
P0
by
z
x
Шеңберлі құраушы бір қалақшаның дамытқан жұмыс теңдеуінен анықталу мүмкін, кН,
кН. (3.6)
осында
– саты парционалдығы дәрежесі;
U–шеңберлі жылдамдығы, м/с;
м/с.
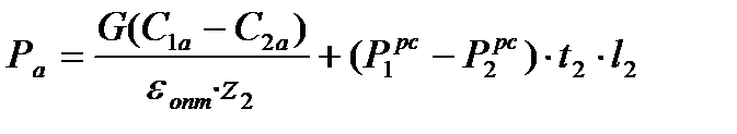
Бу күшінің осьтік құраушысы қалақшалық тор каналдары арқылы өтетін будың динамикалық қысымынан және қысымның статикалық түрлілігінен құралады
(3.7)
Н,
осында
- саты адымы, м,
(3.8)
,
.
Тезәрекеттесетін майысушы күштер Р0 векторыРuжәне Ра құраушыларының геометрикалық жинағына тең,Н
(3.9)
Х, Yосьтерінің бастауы жұмыс қалақшасы қимасының геометрикалық орталығында орналасқан.
Жұмыс қалақшаларын тығыздыққа есептеуде ХХ қима осьтерінің негізгі орталығы профиль хордасына параллель орналасады.
Сондықтан β= 90˚ - βy = 90 – 84 = 6˚,
осында β – YY және ZZ осьтері арасындағы бұрыш. ХХ осі қалақшаның ең үлкен қатаңдық жазықтығын анықтайды, оған перпендикуляр YY – ең кішісін. Бу күшінен изгиб кернеуі бұл осьтерге қатысты анықталады. Қалақшаларға әрекет жасайтын майысушы сәттерді анықтау үшін қалақшаларының қимасы ХХ және YY осьтерінде күш проекциялары Р0 болады, Н
Н,
Н,
бұрыш
;
Бұрыш мәні
.
Қалақшаның тамырлы қимасында изгибающие сәттер, Н*м,
(3.10)
(3.11)
ХХ және YY осьтеріне қатысты кернеу, Мпа,
(3.12)
(3.13)
(3.14)
(3.15)
осында
- арқалар мен кромкалар үшін ХХ осіне мқатысты қарсылық сәті;
- кіруші және шығушы кромкалар үшін YY осіне қатысты қарсылық сәті (жұмыс қалақшаларының профильдер, профильдер жинағы геометрикалық сипаттамаларынан анықталады).
М1сәті кромкаларда созылуға, ал қалақша арқасында сығылуғ әкеледі.
М2сәті (Р2бу ағыны қозғалысына бағытталған) кіруші кромкада созылу мен шығушыда сығылуды жасайды.
Изгиб кернеуі
- шығушы кромкада, МПа,
(3.16)
-кіруші кромкада, МПа,
(3.17)
-арқада, МПа,
(3.18)
Созылу, иілуде тамырлы қимадағы қалақшалардағы жинақ кернеу, Мпа,
(3.19)
осында
- кернеулердің ең үлкені болып кромкада қабылданады.
Кернеу созылудың мүмкін мәнінен аспау керек.
Қалақшалар беріктігінің критерийі ретінде мүмкін кернеулер таңдау кезінде таңдала алады: ағымдылық шегі
, жорғалаулық шегі
, беріктік ұзақтығының шегі
, шаршау шегі
. Ыстықтөзімді перлитті болат үшін қалақшалардың 430˚С жұмыс температурасы кезінде беріктік критерийі ретінде ұзақ беріктік шегін
алу қажет.
Беріктік қорының коэффициенті r қабылданған беріктік критериіне байланысты алынады.
rТ= 2; rпл= 1,3; rдл= 2.
Созылуға мүмкін кернеулер сәйкес болады
,
,
,
осында
,
,
- сәйкес температурада кестелерден алынуы мүмкін [Е қосымшасы].
ережелерін ескергенде, есептелген қалақшаның беріктігі мінездемесі мүмкін болып саналады.
Әдебиеттер
1 ТрухнийА.Д., Лосев С.М. Стационарные паровые турбины —М.: Энергоатомиздат, 1981. – 456 б.
2 Вукалович М.П. Термодинамические свойства воды и водяного пара. —М.: Машгиз, 1958. – 156 б.
3 Дейч М.Е., Филиппов Г.А., Лазарев Л.Я. Атлас профилей решеток осевых турбин. —М.: Машиностроение, 1965. – 96 б.
4 М.А. Трубилов, Г.В. Арсеньев, В.В. Фролов и др.: под редакцией А.Г. Костюка, В.В. Фролова. Паровые и газовые турбины. —М.: Энергоатомиздат, 1985. – 352 б.
5 Семенов А.С., Шевченко А.М. Тепловой расчет паровой турбины. —Киев.: Вища школа, 1975. – 208 б.
6 Тепловые и атомные электрические станции. Справочник /под редакцией В.А. Григорьева и В.М. Зорина/.—М.: Энергия, 1982. – 625 б.
7 Шляхин П.Н. Паровые и газовые турбины. Изд. 2-е, переработано дополненное. —М.: Энергия, 1974. – 224 б.
8 Щегляев А.В. Паровые турбины. —М.: Энергия, 1993. – 256 б.
А қосымшасы
(міндетті)
Кесте А.1 – Бастапқы мәліметтер
| Турбина типі | Номиналды қуат, МВт | Таза бу қысымы, МПа | Таза бу температурасы, 0 С | Будың ақырғы қысымы, кПа | Реттеуші сатысының жылулық шығыны, кДж/кг |
| 1.К800-240 ЛМЗ | 23,54 | 3,43 | Бір венецті 125 | ||
| 2.К-500-166-2 ЛМЗ | 16,27 | 5,88 | Бірвенецті150 | ||
| 3.К-210-130 ЛМЗ | 12,75 | 3,45 | Бірвенецті110 | ||
| 4.К-300-240 ЛМЗ | 23,54 | 3,43 | Бір.венецті85 | ||
| 5.К-100-90 ЛМЗ | 8,83 | 3,43 | Бірвенецті310 | ||
| 6.ПТ-135/165-130/15ТМЗ | 12,75 | 7,35 | Бірвенецті90 | ||
| 7.Т-250/300-240 ТМЗ | 23,5 | 6,9 | Бір.венецті120 | ||
| 8.Т-50-130 ТМЗ | 12,75 | 5,4 | Еківенецті250 | ||
| 9.К-160-130ХТЗ | 12,75 | 3,43 | Бірвенецті95 | ||
| 10.К-150-130ХТЗ | 12,75 | 3,58 | Еківенецті 380 | ||
| 11.Р-50-130/13 ЛМЗ | 12,75 | Еківенецті330 | |||
| 12.К-500-240-2 ТУРБО | 23,54 | 3,5 | Бірвенецті80 | ||
| 13.К-50-90ЛМЗ | 6,4 | Еківенецті290 | |||
| 14.Т-175/120-130 ТМЗ | 12,75 | 4,9 | Бірвенецті103 | ||
| 15.Т-110/120-130-5ТМЗ | 12,75 | 5,3 | Еківенецті400 | ||
| 16.ПТ-50/60-130/7ТМЗ | 12,75 | 3,43 | Еківенецті 290 | ||
| 17.Р-100-135/15 | 12,75 | Бірвенецті75 | |||
| 18.Т-25-90 ТМЗ | 8,83 | 3,5 | Еківенецті300 | ||
| 19.Р-40-130/31 ТМЗ | 12,75 | Еківенецті250 | |||
| 20.Р-12-35/5 | 3,4 | Еківенецті350 | |||
| 21. ТР-110-130 | 12,8 | 6,2 | Еківенецті280 | ||
| 22.ПР-12/15-90/15/7 | 12/15 | 3,4 | 5,4 | Еківенецті370 | |
| 23. ПР-80/100-130/13 | 80/100 | 12,8 | 5,8 | Еківенецті390 | |
| 24.Т-180/210-130 | 180/210 | 12,8 | 5,8 | Бірвенецті89 | |
| 25.ПТ-25/30-90/10 | 25/30 | 8,8 | 5,8 | Еківенецті360 | |
| 26. Р-6-35/5 | 3,4 | Еківенецті300 | |||
| 27. П-6-35/5 | 6/6,6 | 3,4 | 5,8 | Еківенецті320 |
Б қосымшасы
(міндетті)
Кесте Б.1 – Бастапқы мәліметтер
| Турбина типі | Номиналды қуат, МВт | Таза бу қысымы, МПа | Таза бу температура-сы, 0 С | Будың ақырғы қысымы, кПа | Будың реттеуші сатысынан кейінгі қысымы, МПа |
| 1.К800-240 ЛМЗ | 23,54 | 3,43 | |||
| 2,К-500-166-2 ЛМЗ | 16,27 | 5,88 | |||
| 3,К-210-130 ЛМЗ | 12,75 | 3,45 | 8,3 | ||
| 4.К-300-240 ЛМЗ | 23,54 | 3,43 | |||
| 5.К-100-90 ЛМЗ | 8,83 | 3,43 | |||
| 6.ПТ-135/165-130/15ТМЗ | 12,75 | 7,35 | 8,5 | ||
| 7.Т-250/300-240 ТМЗ | 23,5 | 6,9 | 16,3 | ||
| 8.Т-50-130 ТМЗ | 12,75 | 5,4 | 5,7 | ||
| 9.К-160-130ХТЗ | 12,75 | 3,43 | 8,4 | ||
| 10.К-150-130ХТЗ | 12,75 | 3,58 | 3,8 | ||
| 11.Р-50-130/13 ЛМЗ | 12,75 | 4,35 | |||
| 12.К-500-240-2 ТУРБО | 23,54 | 3,5 | |||
| 13.К-50-90ЛМЗ | 6,4 | 3,5 | |||
| 14.Т-175/120-130 ТМЗ | 12,75 | 4,9 | 8,9 | ||
| 15.Т-110/120-130-5ТМЗ | 12,75 | 5,3 | 3,5 | ||
| 16.ПТ-50/60-130/7ТМЗ | 12,75 | 3,43 | 5,08 | ||
| 17.Р-100-135/15 ТМЗ | 12,75 | 9,1 | |||
| 18.Т-25-90 ТМЗ | 8,83 | 3,5 | 3,35 | ||
| 19.Р-40-130/31 ТМЗ | 12,75 | 5,5 | |||
| 20.Р-12-35/5 | 3,4 | 0,85 | |||
| 21. ТР-110-130 | 12,8 | 6,2 | 5,2 | ||
| 22.ПР-12/15-90/15/7 | 12/15 | 3,4 | 5,4 | 0,8 | |
| 23. ПР-80/100-130/13 | 80/100 | 12,8 | 5,8 | 3,65 | |
| 24.Т-180/210-130 | 180/210 | 12,8 | 5,8 | 9,89 | |
| 25.ПТ-25/30-90/10 | 25/30 | 8,8 | 5,8 | 2,58 | |
| 26. Р-6-35/5 | 3,4 | 1,05 | |||
| 27. П-6-35/5 | 6/6,6 | 3,4 | 5,8 | 0,98 |
В қосымшасы
(міндетті)
Кесте В.1 – Бастапқы мәліметтер
| Турбина типі | Номиналды қуат, МВт | Таза бу қысымы, МПа | Таза бу температура-сы, 0 С | Будың ақырғы қысымы, кПа | Реттеуші сатысыныңдиаметрі, м |
| 1.К800-240 ЛМЗ | 23,54 | 3,43 | 1 м | ||
| 2,К-500-166-2 ЛМЗ | 16,27 | 5,88 | 1,1 м | ||
| 3,К-210-130 ЛМЗ | 12,75 | 3,45 | 1,05 м | ||
| 4.К-300-240 ЛМЗ | 23,54 | 3,43 | 1,15 м | ||
| 5.К-100-90 ЛМЗ | 8,83 | 3,43 | 0,8 м | ||
| 6.ПТ-135/165-130/15ТМЗ | 12,75 | 7,35 | 1,2 м | ||
| 7.Т-250/300-240 ТМЗ | 23,5 | 6,9 | 1,03 м | ||
| 8.Т-50-130 ТМЗ | 12,75 | 5,4 | 0,9 м | ||
| 9.К-160-130ХТЗ | 12,75 | 3,43 | 1,17 м | ||
| 10.К-150-130ХТЗ | 12,75 | 3,58 | 1 м | ||
| 11.Р-50-130/13 ЛМЗ | 12,75 | 1,1 м | |||
| 12.К-500-240-2 ТУРБО | 23,54 | 3,5 | 1,09 м | ||
| 13.К-50-90ЛМЗ | 6,4 | 1,19 м | |||
| 14.Т-175/120-130 ТМЗ | 12,75 | 4,9 | 1,13 м | ||
| 15.Т-110/120-130-5ТМЗ | 12,75 | 5,3 | 1,07 м | ||
| 16.ПТ-50/60-130/7ТМЗ | 12,75 | 3,43 | 1,2 м | ||
| 17.Р-100-135/15 ТМЗ | 12,75 | 1,19 м | |||
| 18.Т-25-90 | 8,83 | 3,5 | 0,85 м | ||
| 19.Р-40-130/31 ТМЗ | 12,75 | 0,95 м | |||
| 20.Р-12-35/5 | 3,4 | 0,93 м | |||
| 21. ТР-110-130 | 12,8 | 6,2 | 1,15 м | ||
| 22.ПР-12/15-90/15/7 | 12/15 | 3,4 | 5,4 | 1,18 м | |
| 23. ПР-80/100-130/13 | 80/100 | 12,8 | 5,8 | 1,12 м | |
| 24.Т-180/210-130 | 180/210 | 12,8 | 5,8 | 0,83 м | |
| 25.ПТ-25/30-90/10 | 25/30 | 8,8 | 5,8 | 1,11 м | |
| 26. Р-6-35/5 | 3,4 | 0,87 м | |||
| 27. П-6-35/5 | 6/6,6 | 3,4 | 5,8 | 1,16 м |
Г қосымшасы
(міндетті)
Кесте Г.1 – МЭИ профильдерінің сипаттамасы
| Профилдер белгіленуі | Ағынның шығу бұрышы град
| Ағынның кіру бұрышы ,
град
| Оптималды қатысты қадам, t=t/b | Мах саны,
М ,М2t
| Профильдер хордасы
b , см
|
| С-90-09 А С 90-12 А С-90-15 А С-90-18 А С-90-22 А С-90-27 А С-90-33 А С-90-38 А С-55-15 А С-55-20 А С-45-25 А С-60-30 А С-65-20 А С-70-25 А С-90-12 Б С-90-15 Б С-90-12 В С-90-15 В Р-23-14 А Р-26-17 А Р-30-21 А Р-35-25 А Р-46-29 А Р-60-33 А Р-60-38 А Р-23-14 Ак Р-26-17 Ак Р-27-17 Б Р-27-17 Бк Р -30-21 Б Р-35-25 Б Р-21-18 В Р-25-22 В | 8-11 10-14 13-17 16-20 20-24 24-30 30-36 35-42 12-18 17-23 21-28 27-34 17-23 22-28 10-14 13-17 10-14 13-17 12-16 15-19 19-24 22-28 25-32 30-36 35-42 12-16 15-19 15-19 15-19 19-24 22-28 16-20 20-24 | 70-120 70-120 70-120 70-120 70-120 70-120 70-120 70-120 45-75 45-75 35-65 45-85 45-85 55-90 70-120 70-120 70-120 70-120 20-30 23-35 25-40 30-50 44-60 47-65 55-75 20-30 23-45 23-45 23-45 25-40 30-50 19-24 23-27 | 0.72-085 0.72-0.87 0.70-0.85 0.70-0.80 0.70-0.80 0.65-0.75 0.60-0.73 0.72-0.87 0.70-0.85 0.60-0.75 0.52-0.70 0.60-0.70 0.50-0.67 0.72-0.87 0.70-0.85 0.58-0.68 0.55-0.65 0.60-0.75 0.60-0.70 0.58-0.68 0.55-0.65 0.45-0.58 0.43-0.55 0.41-0.51 0.60-0.75 0.60-0.70 0.57-0.65 0.57-0.68 0.55-0.65 0.55-0.65 0.60-0.70 0.60-0.70 0.54-0.67 | 0.90 дейін 0.85 дейін 0.85 дейін 0.85 дейін 0.90 дейін 0.90 дейін 0.90 дейін 0.90 дейін 0.90 дейін 0.90 дейін 0.90 дейін 0.90 дейін 0.90 дейін 0.90 дейін 0.85-1.15 0.85-1.15 1.4-1.8 1.4-1.7 0.95 дейін 0.95 дейін 0.90 дейін 0.85 дейін 0.85 дейін 0.85 дейін 0.85 дейін 0.95 дейін 0.95 дейін 0.8-1.15 0.85-1.15 0.85-1.10 0.85-1.10 1.3-1.6 1.35-1.6 | 6.06 6.25 5.15 4.71 4.5 4.5 4.5 4.5 4.5 4.15 4.58 3.46 4.5 4.5 5.66 5.2 4.09 4.2 2.59 2.57 2.56 2.54 2.56 2.56 2.61 2.59 2.57 2.54 2.54 2.01 2.51 2.0 2.0 |
Ескерту: 1. Торларды белгілеу қабылданған: С – соплолық, Р – жұмыс, мысалы С-80-15А. Осында алғашқы екі сан – кіру бұрышы, соңғы екеуі – бұрыш ағынының градуста кіру бұрышы; соңғы әріп жылдамдықтың ұсынылған аймағын көрсетеді (А – дыбысқа дейінгі, Б – дыбыс жанындағы, В – дыбыс үстіндегі)
Д қосымшасы
(анықтамалық)
Кесте Д.1 – Активті типі сатылары үшін перекрыша өлшемі
Соплолық тор биіктігіl , мм
| Активті типті сатылар үшін перекрыша | |
Ішкі , мм
| Ішкі , мм
| |
35-55
55-75
75-150
150-300
300-400
400-625
625-700
700-950
| 1.0
1.0
1,5-2.0
2.0-2,5
2,5-3.0
5.0-6.0
7.0-9.0
9.0-12.0
12.0-15.0
|
2.0-2,5
2,5-3.0
3.0-3,5
3,5-4.0
6,5-7,5
7,5-9.0
9.0-12.0
12.0-15.0
|
Е қосымшасы(міндетті)
Кесте Е.1 – Қалақшаларда пайданалатың болаттар маркалары
| Болат маркасы | Температура, ºС | Ағымдылық шегі σS, МПа | Беріктік шегі σB, МПа | Қатыс-ты ұзарту δ, % | Серпінділік модулі 10-4, МПа | Ұзақ беріктік шегі σД.П 100000 сағ, МПа | Сызықтық кеңею коэффи-циенті, α×106, 1/К | Жылуөткізгіштік, Вт/(м·К) | Тербелістер декременті | Қолдану аймағы |
| 12Х13 | - | 10,1 11,4 | 25,1 28,1 | 2,0 1,5 | Жұмыс қалақшалары, бандаж ленталары, қосатын сым | |||||
| 20Х13 | - | 10,1 11,4 | 22,2 26,4 | 2,0 1,5 | Жұмыс қалақшалары | |||||
| 15Х12ВМФ | - | 9,7 11,2 | 24,7 26,8 | 1,4 0,7 | Жұмыс қалақшалары, диафраг-малар, құйрықтықосылыстар-дың крепеж заклепкалары | |||||
| Х15Н35В3Т | 390-490 | 600-750 | 9-21 | 16,3 | 23,0 | 0,2 | Жұмыс қалақшалары, дискі, газ турбиналарының роторы | |||
| ХН70ВМЮТ | 21,6 17,7 | - | - 15,1 | 8,3 29,0 | - - | Жұмыс қалақшалары, газ турбиналарынң дискілері | ||||
| ХН77ТЮР | 19,6 14,7 | - | - 14,6 | - 29,2 | - - | |||||
| 34ХМА | 430-520 | 620-720 | 17-22 | - | 12,3 | 40,6 | - | Біліктер, дискілер, клапандар штоктары | ||
| 20Х1М1 | - | - 220-260 | 10,9 13,7 | 40,6 36,0 | - - | Тұтас роторлар | ||||
| 20Х3ВМФ | 600-700 460-560 | 700-800 480-580 | 12-18 15-20 | - | - | 10,6 12,6 | 35,6 29,7 | - - | ||
| 34ХМ1А | - | 12,3 | 40,6 | - | Пісіру роторлары | |||||
| 34ХН3МА | 680-850 | - | 10,8 | 37,7 | - | Жинақ роторларының дискілері | ||||
| 20ХМЛ | 310-400 | 480-560 | 12-28 | - | - 60-65 | 10,9 13,7 | 49,0 28,1 | - - | Турбина корпусы, стопорлы және реттеуші клапандар корпусы, соплолық қораптар, клапанды қораптар | |
| 20ХМФЛ | 320-480 220-390 | 500-690 320-470 | 14-24 12-21 | - | 10,0 13,6 | 49,0 26,4 | - - | |||
| 15Х1М1ФЛ | 550-600 | - | 12,4 14,0 | 32,3 23,8 | - - |
Жқосымшасы
(міндетті)
Кесте Ж.1 – МЭИ торларының соплолық турбиналарын рационалды қолданудың аймақтары мен неішзгі параметрлері
| Топ | Мах М санының диапазоны | Бу ағыны кіруінің бұрышыα0, град | Бу ағыны шығуының бұрышыα1, град | Профиль белгіленуі | Оптималды қатысты адым
| Қондырғының оптималды бұрышыβb, град |
| А | 0,3-0,9 | 70-100 70-100 70-100 70-100 70-100 70-100 70-100 40-55 45-60 55-70 60-70 65-80 | 8-11 10-14 13-17 16-22 22-27 27-32 33-37 13-17 17-22 22-27 27-32 32-37 | ТС-0А ТС-1А ТС-2А ТС-3А ТС-4А ТС-5А ТС-6А ТС-1А-1 ТС-2А-1 ТС-3А-1 ТС-4А-1 ТС-5А-1 | 0,76-0,95 0,74-0,90 0,70-0,90 0,65-0,85 0,60-0,74 0,55-0,64 0,52-0,60 0,74-0,95 0,70-0,90 0,65-0,85 0,60-0,74 0,55-0,64 | 30-33 32-36 37-41 41-46 43-46 46-49 53-56 50-54 56-60 62-66 68-72 72-75 |
| Б | 0,85-1,30 | 70-110 | 10-14 13-17 16-22 22-27 27-32 | ТС-1Б ТС-2Б ТС-3Б ТС-4Б ТС-5Б | 0,74-0,95 0,70-0,90 0,65-0,85 0,58-0,74 0,55-0,66 | 32-36 37-41 41-46 44-50 48-54 |
| В | 1,3-1,6 | 60-120 | 7-11 11-15 15-20 20-25 | ТС-1В ТС-2В ТС-3В ТС-4В | 0,65-0,75 0,65-0,75 0,65-0,75 0,65-0,75 | 37-31 37-41 37-41 46-50 |
Иқосымшасы
(міндетті)
Кесте И.1 – МЭИ торларының соплолық турбиналарын рационалды қолданудың аймақтары мен негізгі параметрлері
| Топ | Мах М санының диапазоны | Бу ағыны кіруінің бұрышыα0, град | Бу ағыны шығуының бұрышыα1, град | Профиль белгіленуі | Оптималды қатысты адым
| Қондырғының оптималды бұрышыβb, град |
| А | 0,3-0,9 | 14-25 18-33 25-40 28-45 35-50 40-55 45-65 | 13-15 16-19 19-22 24-28 28-32 32-36 36-39 | ТР-0А ТР-1А ТР-2А ТР-3А ТР-4А ТР-5А ТР-6А | 0,60-0,75 0,60-0,70 0,58-0,65 0,56-0,64 0,55-0,64 0,52-0,60 0,52-0,58 | 76-79 76-79 76-79 77-80 74-78 76-79 77-81 |
| Б | 0,85-1,25 | 18-28 22-33 26-38 30-42 35-48 | 17-20 19-22 24-28 27-32 32-35 | ТР-1Б ТР-2Б ТР-3Б ТР-4Б ТР-5Б | 0,59-0,70 0,58-0,65 0,57-0,62 0,55-0,60 0,52-0,60 | 77-82 81-85 83-88 84-88 85-89 |
| В | 1,25-1,90 | 18-24 20-26 23-30 26-32 | 18-20 20-23 22-26 25-28 | ТР-1В ТР-2В ТР-3В ТР-4В | 0,57-0,60 0,58-0,63 0,55-0,60 0,54-0,58 | 87-89 87-89 87-90 88-90 |
П-4 және П-5 кестелеріне қосымша:
1) А тобы дыбысқа дейінгілерге, Б тобы — дыбысқа жақындарға және В тобы — бу ағынының дыбыс жоғарылығы жылдамдығына жатады.
2) Қазіргі уақытты торлардың келесі белгіленуі қолданылады: С — соплолық, Р — жұмыс, мысалы, С-8015А, Р-2922Б. Осындаu
град
,
град
,М2t
, см
, мм
, мм
, мм
35-55
55-75
75-150
150-300
300-400
400-625
625-700
700-950
1.0
1.0
1,5-2.0
2.0-2,5
2,5-3.0
5.0-6.0
7.0-9.0
9.0-12.0
12.0-15.0
2.0-2,5
2,5-3.0
3.0-3,5
3,5-4.0
6,5-7,5
7,5-9.0
9.0-12.0
12.0-15.0






