1. Расчет рабочих тактов работы линии.
При расчете рабочих тактов за базовый представитель принята деталь В.
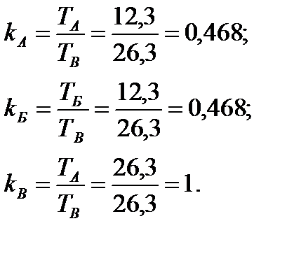
Коэффициенты приведения трудоемкости детали к трудоемкости базового представителя:

Программные задания по каждой детали в приведенных единицах:
NА = 1800шт.
0,468=842шт;
NБ = 2400шт.
0,468=1123шт;
NВ = 3600шт.
1,0 = 3600шт.
Суммарная программа в приведенных единицах:
=842шт.+ 1123шт.+З600шт.=5565 шт.
Действительный фонд времени работы линии:
FД =20дн.
8ч.
2см.
60мин.
(1-0,09) = 17472 мин.
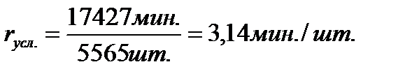
Условный общий такт линии:

Рабочие (частные) такты обработки деталей каждого наименования:
=3,14
0,468=1,47 мин/шт.;
=3,14
0,468 = 1,47 мин/шт.;
= 3,14
1,0 = 3,14мин./шт.
2. Расчет количества рабочих мест и загрузки МППЛ. Необходимое число рабочих мест и их загрузка приведены в табл.2.16 (
- принятое число рабочих мест на линии).
Таблица 2.16






