МППЛ применяют в серийном производстве, главным образом в заготовительных и обрабатывающих цехах предприятий. На многопредметных поточных линиях изготавливаются изделия различных наименований последовательно чередующимися партиями. Для МППЛ с последовательно — партионным запуском предметов труда, как правило, имеют место типовой технологический процесс с одинаковой последовательностью операций (приложение 3), унифицированное технологическое оснащение по однотипным операциям, поштучная передача деталей (изделий) от операции к операции и цепное расположение оборудования (рабочих мест).
Основными условиями организации таких линий являются технологическое единство изделий и гибкая конструкция оборудования линий, допускающая возможность быстрой его переналадки на выпуск новых изделий.
Организация работы МППЛ основывается на расчете двух групп календарно-плановых нормативов.
К первой группе КПН относятся:
· частный такт (ритм) выпуска изделия j —го наименования (rj), мин/шт., или (Rj), мин/партию;
· число станков (рабочих мест) по каждой i —й операции, по всей номенклатуре предметов труда, объединенных на поточной линии (Спр);
Ко второй группе КПН относятся:
· размер партии изделий (деталей) j —го наименования (nj);
· периодичность (ритмичность) чередования партий изделий (деталей) j —го наименования (Rчер.j);
· длительность производственного цикла обработки партии деталей j -го наименования (tцJ).
Различают групповые и переменно-поточные многопредметные линии. На групповой многопредметной линии объединяют предметы труда, одинаковые по составу и последовательности технологических операций, с одинаковым штучным временем для всех общих операций по всем объектам, с одинаковым технологическим оснащением для всех объектов (не требуется переналадка оборудования). Расчет групповых поточных линий аналогичен расчету однопредметных непрерывно-поточных линий.
Если закрепленные за линией однотипные объекты с одинаковым технологическим маршрутом имеют существенные различия в затратах времени на операции, тогда работу таких линий целесообразно организовать с переменными или частными тактами (rА, rБ,.... rn). Пере- наладка линий на иной частный такт обычно производится на основе стандарт - плана ее работы.
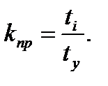
В данном случае расчет частного такта может быть выполнен по изделию- представителю, являющемуся наиболее типичным для данной линии. При этом способе расчета из числа изделий, закрепленных за линией, выбирают одно изделие-представитель (условное изделие). Для других деталей находят коэффициент приведения kпр путем деления их трудоемкости ti на трудоемкость условного изделия ty:

(2.20)
Затем для каждой детали определяют приведенные объемы выпуска Nпр.j:
, (2.21)
где Nj - программа запуска (выпуска) объекта j -го наименования.
На основании этих данных рассчитывают условный общий такт линии:

(2.22)
где
— коэффициент, учитывающий потери времени на плановые ремонты.
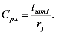
Частные такты изготовления деталей j -го наименования определяют по формуле:

(2.23)
Расчетное число рабочих мест по операциям технологического процесса изготовления деталей определяют по формуле:

(2.24)
Размер партии предметов j -го наименования определяют по формуле:
(шт.),
(2.25)
где
- допустимый процент потерь времени на простои рабочих мест при смене партий предметов на линии (
=2 - 8%);
- средние потери рабочего времени на каждом рабочем месте при переходе с изготовления партии деталей одного наименования на партию деталей другого наименования, мин.
Средние потери рабочего времени на каждом рабочем месте при переходе с изготовления партии деталей одного наименования на партию деталей другого наименования
зависят от формы смены объекта. Первая форма предусматривает, что партия изделий j -го наименования, поступивших на первую операцию поточной линии, выпускается с последней операции в полном объеме. В этом случае
состоит из двух слагаемых: времени собственной переналадки рабочих мест и времени ожидания рабочими местами вновь запущенной партии изделий j -го наименования
Расчет ведется по формуле:
(мин).
(2.26)
При второй форме смены объектов труда из партий j -го наименования на всех рабочих местах образуется переходящий задел (изделия на различных стадиях готовности). В этом случае величина включает только время, необходимое для переналадки рабочих мест, и определяется по формуле:
(мин.).
(2.27)
Занятость поточной линии деталями j -го наименования можно определить по формуле:
,
(2.28)
где:
- период обработки деталей j -го наименования на линии, смен;
Тcм. - продолжительность смены, мин.
Периодичность чередования партий деталей j -го наименования рассчитывается по формуле:
.
(2.29)
Длительность производственного цикла обработки деталей j -ro наименования определяется по зависимости:
.
(2.30)
Выбор вида и расчет количества транспортных средств для межоперационного и межцехового перемещения изделий осуществляют также, как и для ПЗУ.