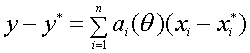
Пусть
непрерывно дифференцируемая функция,
- приближенные значения ее аргументов, для которых
- известные абсолютные погрешности.
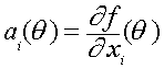
Для погрешности приближенного значения функции
по формуле Лагранжа получаем
, где 
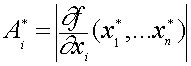
Заменяя
, получаем

Оценка погрешности соответственно:
, где 
или
, где 






