Наиболее простой и (для многих случаев) удобной является система функций
,
. Функция
при этом представляет собой многочлен степени
(интерполяционный многочлен) с коэффициентами
.
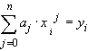
Система уравнений (3) в этом случае имеет вид:
,
(5)
Определителем этой системы является отличный от нуля определитель Вандермонда: 
Отсюда следует, что интерполяционный многочлен существует и единственен.
Непосредственное решение системы (5) для нахождения aj уже при небольших n приводит к сильному искажению значений aj. Получим явный вид нтерполяционного многочлена
, не решая систему (5).
Если
многочлен степени n такой что
, то
- искомый интерполяционный многочлен степени
, т.к.
.
Так как
при
, то
делится на
для любых
, то есть
. Так как
, то
.
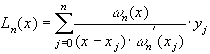
Таким образом,
(6)
Такая форма записи интерполяционного многочлена называется многочленом Лагранжа и обозначается, как правило,
.
Существуют и другие формы записи того же самого интерполяционного многочлена.
Если обозначить
, то
.
Тогда (6) можно записать в виде 






