В узлах
многочлен Лагранжа совпадает с заданной функцией, в остальных точках в общем случае
не совпадает с
(кроме случая, когда
многочлен степени не выше
). Разность
-
- остаточный член. Запишем ее в виде
.
При
. Найдем постоянную такую, чтобы
в некоторой фиксированной точке
, в которой мы рассматриваем погрешность.
Относительно
будем предполагать
кратную дифференцируемость.
Значение c, при котором
существует и равно
. Тогда функция
равна нулю по крайней мере в
точках
.
По теореме Ролля производная
равна нулю по крайней мере в
точках
. Далее,
равна нулю по крайней мере в n точках и т.д.
Для
- производной получаем, что существует по крайней мере одна точка
такая, что
.

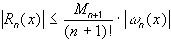
Отсюда получаем при
. В этом случае в точке
, т.е. остаточный член в точке
имеет вид:

Значение
зависит от
- точки, в которой рассматривается погрешность.
Оценка остаточного члена:
, 3.2. Минимизация остаточного члена






