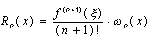
- остаточный член формулы Лагранжа.
Для
получено выражение:
(7)
Оно получено в предположении, что производная
существует и ограничена. Для одной определенной функции
точность интерполирования характеризуется величиной
.
Если интерполируется некоторое множество функций
, то точность можно оценить величиной:

Oна зависит только от выбора узлов
.
Пусть


Задача:
найти такие узлы
для которых величина
(8)
минимальна.
Задача (8) есть задача об определении на
многочлена степени
, все корни которого простые и лежат на
, наименее отклоняющегося от нуля.






