Метод вращения позволяет для симметрических матриц решать полную проблему собственных значений.
Сущность метода состоит в следующем.
Известно, что для симметрической матрицы A существует ортогональная матрица U такая, что

где
- транспонированная к U матрица, а
- диагональная матрица. Так как
, то матрица
подобна матрице A и, следовательно, имеет те же собственные значения, что и матрица A. Так как собственными значениями диагональной матрицы являются ее диагональные элементы, то зная U, мы можем найти все собственные значения матрицы A. Одновременно мы получим и все собственные векторы матрицы A, в качестве которых можно взять столбцы матрицы U.
Пусть
, где
мало отличается от диагональной матрицы, т. е. элементы вне главной диагонали малы. Тогда можно ожидать, что собственные числа матрицы
будут близки к диагональным элементам
матрицы
, и
можно принять за приближенные значения
.
Таким образом, решение полной проблемы собственных значений сводится для симметрической матрицы A к нахождению ортогональной матрицы U, с помощью которой матрица A приводится к диагональному виду.
|
|
|
В методе вращения матрица U строится как предел последовательности произведений матриц простых поворотов, при которых все оси координат кроме двух остаются неподвижными. При этом матрицы простых поворотов подбираются так, чтобы при преобразовании матрицы с помощью матрицы простого поворота на каждом шаге уничтожался максимальный по модулю недиагональный элемент.
Итерационный процесс осуществляется следующим образом.
Пусть
- матрица, полученная после k - го преобразования поворота.
В матрице
находится максимальный по модулю элемент
. Строится ортогональная матрица простого поворота вида

Угол
подбирается так, чтобы у матрицы

элемент
обратился бы в нуль. Найдем выражение для этого элемента.
Обозначим
.
Матрица
отличается от матрицы
только столбцами с номерами
и
, причем последние имеют такой вид:


Матрица
отличается от матрицы
только строками с номерами i и j, причем эти строки имеют такой вид:


Таким образом,


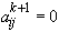
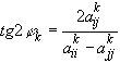
Из требования, что
, получаем
, т. е. 
Процесс заканчивается, когда все внедиагональные элементы полученной на очередном шаге матрицы
будут достаточно малы. Диагональные элементы этой матрицы являются приближениями для собственных чисел матрицы A, а столбцы матрицы
приближениями для соответствующих собственных векторов.
Метод вращения является одним из самых удобных итерационных методов для определения собственных значений и собственных векторов симметрических матриц. Он прост по вычислительной схеме, быстро сходится, кратные и близкие собственные значения не вызывают никаких трудностей.
|
|
|
[О комплексе|Теория|Практикум|Справочник по MathCAD'у|Об авторах]
[Home|Кафедра|ПетрГУ]