Пусть
приближена на отрезке
интерполяционным многочленом степени
. Оценка остаточного члена:
.
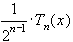
Величина
на отрезке [-1,1] будет минимальна, если
окажется многочленом
.
совпадает с этим многочленом, если в качестве узлов интерполяции взять корни многочлена Чебышева
, вычисляемые по формуле (12).

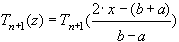
Сделаем замену
, задающую отображение [-1, 1] в отрезок
. Отсюда
. Тогда
и многочлен
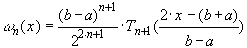
является наименее уклоняющимся от нуля многочленом степени
со старшим коэффициентом 1 на отрезке
. Нули определяются формулой
.
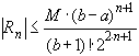
Если в качестве узлов интерполяции взять эти значения, то
и для нее на отрезке 
- минимальная величина. Тогда оценка остаточного члена будет
.
[О комплексе|Теория|Практикум|Справочник по MathCAD'у|Об авторах]
[Home|Кафедра|ПетрГУ]
где
3.3. Интерполяционная формула Ньютона с разделенными разностями
Пусть имеется табулированная функция
. Введем понятие разделенной разности.






