Для разностных схем, используемых в приближенном решении дифференциальных уравнений, естественно требовать выполнения аналогичного свойства устойчивости:
.
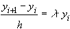
Оказывается, что свойство устойчивости разностных схем связано с их сходимостью. Например, исследуем устойчивость явной схемы Эйлера на примере решения модельного уравнения (3):
, отсюда
, т.е.
, если
,
т.е. для устойчивости достаточно выполнения условий
и
.
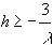
Таким образом, явная схема Эйлера условно устойчива, поскольку накладывается условие на шаг. Действительно, легко убедиться в том, что при большом шаге схема становится неустойчивой при
. Пусть, например,
, тогда
,
т.е. схема неустойчива.
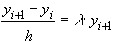
Иначе обстоит дело с неявной схемой Эйлера. Рассмотрим ту же модельную
задачу:
,
следовательно,
,
и схема устойчива при
для любого шага
, поскольку
.
[О комплексе|Теория|Практикум|Справочник по MathCAD'у|Об авторах]
[Home|Кафедра|ПетрГУ]






