Для составления квадратурной формулы применим интерполяционную формулу Ньютона с разделенными разностями (см. раздел 3.3). Введем функцию
, определенную следующим образом:
.
Тогда, как показано в разделе 3.3, можно интерполировать функцию
на отрезке
многочленом

где
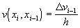
- разделенные разности. Выполним замену переменной по формуле
и введем обозначения
,
,
............................................

Учитывая, что
и
,
можно выписать соотношения для разделенных разностей
,
, и т.д.
и записать интерполяционный многочлен в виде
,
где
- остаточный член.
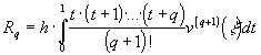
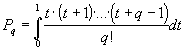
Тогда квадратурная формула для интеграла примет вид:
, (14)
где
,
, в частности,
,
, и т.д.
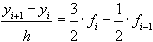
Таким образом, из формул (13) и (14) можно получить общий вид явной
-шаговой схемы Адамса:

В частности, двухшаговая схема Адамса принимает форму
(15)
а трехшаговая схема имеет вид
, где
.






