Для построения
-шаговой неявной (интерполяционной) схемы будем использовать интерполяционный многочлен Ньютона, построенный по значениям функции
в узлах
:
,
где
,
,
............................................

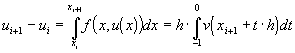
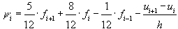
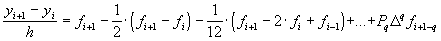
Воспользуемся формулой
.
Подставляя в эту формулу интерполяционный многочлен, получим общий вид неявной схемы Адамса:
,
где коэффициенты
имеют новый смысл:
, т.е.
, и т.д.
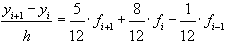
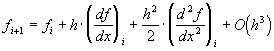
В частности, полагая
, получим двухшаговую неявную схему Адамса:
(19)
4.9.2. Двухшаговая схема: погрешность аппроксимации
и устойчивость на модельной задаче
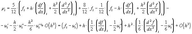
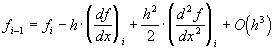
Аналогично разделу 3.8.2., определим порядок аппроксимации неявной двухточечной семы Адамса (19). Погрешность аппроксимации запишется следующим образом:
,
где
,
- точное решение задачи Коши.
Тогда справедливы следующие разложения:
,
,
.
С учетом этих разложений формула для погрешности аппроксимации примет вид

Однако очевидно, что
, поэтому для погрешности аппроксимации получаем соотношение
, а значит, двухточечная неявная схема Адамса имеет порядок аппроксимации, равный трем.
Исследуем устойчивость схемы (19) на модельной задаче
,
,
.
Для этой задачи схема (19) примет конкретную форму трехточечного разностного однородного уравнения с постоянными коэффициентами:
.
Подставляя в это уравнение частное решение вида
, получим квадратное уравнение для
:

или
,
где
. Поскольку
, можно записать неравенство для корней квадратного уравнения:
.
В силу последнего неравенства, если выполнены условия
, то
.
Это значит, что для устойчивости разностной схемы достаточно выполнения неравенства
,
что равносильно ограничению на шаг разностной схемы
.






