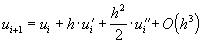
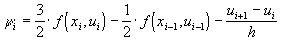
Определим порядок аппроксимации двухточечной явной схемы Адамса (15):
.
Разложим в этом представлении слагаемые
по степеням
:
,
.
Получим такое выражение для погрешности аппроксимации:
.
Учитывая теперь, что
и Ошибка! Закладка не определена., получим результат:
,
т.е. двухшаговая явная схема Адамса имеет второй порядок аппроксимации.






