Рассмотрим основные виды средних величин, используемых при решении социально-эконмических и аналитических задач.
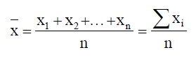
Средняя арифметическая простая вычисляется по формуле:
|
Средняя арифметическая простая используется в тех случаях, когда расчет осуществляется по не сгруппированным данным. Пример применения формулы средней арифметической простой представлен в задаче 1.
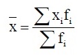
Средняя арифметическая взвешенная определяется по формуле:
|
При расчете средних величин отдельные значения осредняемого признака могут повторяться, встречаться по несколько раз. В подобных случаях расчет средней производится по сгруппированным данным или вариационным рядам. Пример применения формулы средней арифметической взвешенной представлен в задаче 2.
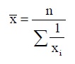
Средняя гармоническая простая определяется по формуле:
|
Средние гармонические используются тогда, когда по экономическому содержанию имеется информация для числителя, а для знаменателя ее необходимо предварительно определить.
Средняя гармоническая взвешенная определяется по формуле:
|
|
|
|
Данная формула используется для расчета средних показателей не только в статике, но и в динамике, когда известны индивидуальные значения признака и веса W за ряд временных интервалов. Пример применения формулы средней гармонической взвешенной представлен в задаче 3.
Средняя геометрическая простая (невзвешенная) опеределяется по формуле:
|
Наиболее широкое применение этот вид средней получил в анализе динамики для определения среднего темпа роста.
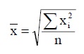
Средняя квадратическая простая (невзвешенная) опеределяется по формуле:
|
Средняя квадратическая лежит в основе вычислений ряда сводных расчетных показателей.
Наиболее часто используемыми в экономической практике структурными средними являются мода и медиана. Мода (Мо) представляет собой значение изучаемого признака, повторяющееся с наибольшей частотой. Медианой (Ме) называется значение признака, приходящееся на середину ранжированной (упорядоченной) совокупности. Пример определения медианы и моды для дискретного ряда чисел представлен в задаче 1.
|
Главное свойство медианы заключается в том, что сумма абсолютных отклонений значений признака от медианы меньше, чем от любой другой величины.
Для интервального ряда расчет моды осуществляется по формуле:
|
где Хо - нижняя граница модального интервала (модальным называется интервал, имеющий наибольшую частоту); i - величина модального интервала; f Мо - частота модального интервала; f Мо-1 - частота интервала, предшествующего модальному; f Мо+1 - частота интервала, следующего за модальным.
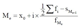
Для интервального ряда расчет медианы осуществляется по формуле:
|
|
|
|
Хо - нижняя граница медианного интервала (медианным называется первый интервал, накопленная частота которого превышает половину общей суммы частот); i - величина медианного интервала; Sme-1 - накопленная частота интервала, предшествующего медианному; f Me - частота медианного интервала.






