Решение. 1) Найдем индивидуальные индексы количества: для продукции А: iq = q1/q0 = 12/10=1,2; для продукции Б: iq = q1/q0 = 20/20=1; для продукции В: iq = q1/q0 =

1) Найдем индивидуальные индексы количества:
для продукции А: iq = q1/q0 = 12/10=1,2;
для продукции Б: iq = q1/q0 = 20/20=1;
для продукции В: iq = q1/q0 = 12/15=0,8

Найдем индивидуальные индексы себестоимости:
для продукции А: ip = p1/p0 = 12/15=0,8;
для продукции Б: ip = p1/p0 = 12/10=1,2;
для продукции В: ip = p1/p0 = 8/8=1

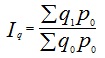
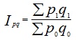
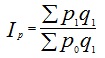
2) общие индексы затрат на производство, натурального выпуска и себестоимости найдем по формулам:

= (12*12+12*20+8*12)/(15*10+10*20+8*15) = 480/470 = 1,021=102,1%

= (12*15+20*10+12*8)/470 = 476/470 = 1,013 = 101,3%

= 480/476 = 1,008=100,8%

3) абсолютное изменение затрат на выпуск продукции в целом:

= 480-470=10 тыс.руб.

По факторам: а) за счет изменения себестоимости:

= 480-476=4 тыс.руб.

б) за счет изменения натурального выпуска

= 476-470 = 6 тыс.руб.

Вывод: Товарный выпуск во втором квартале увеличился по сравнению с первым на 102,1-100=2,1%. В абсолютном выражении это соответствует 10 тыс. руб. Этот рост произошел как за счет увеличения объема выпуска (на 101,3-100=1,3% или 6 тыс. руб.), так и за счет себестоимости (100,8-100=0,8% или 4 тыс. руб.).

Задача 3. Имеется информация о затратах на производство и индексах количества:

Определить: 1)индивидуальные индексы физического объема производства; 2) общий индекс физического объема производства; 3) общий индекс себестоимости, если известно, что общие затраты на производство выросли на 25%. Сделать выводы.





Подборка статей по вашей теме: