Проблемы и их решение: экономико-математическая модель

Для организации важен как механизм управления процессом решения проблем, так и исполнительный механизм реализации решений.

С точки зрения эффективной адаптации организации к реальным условиям функционирования исключительно важная роль принадлежит механизму управления процессом решения проблем и, следовательно, процессом принятия решений.

Рассмотрим подробнее механизм управления процессом решения проблем в организации.

К функциям управления процессом решения проблем организации относятся прежде всего:

§ предвидение проблем,

§ выявление проблем,

§ диагностика,

§ систематизация и классификация проблем,

§ выработка альтернативных вариантов решений,

§ выбор наиболее предпочтительного альтернативного варианта решения (собственно принятие решения),

§ реализация принятых решений,

§ контроль за реализацией решений.

Предвидение проблем предполагает анализ тенденций из­менения внешней и внутренней среды организации, результатов деятельности организации, уже достигнутых и достижение которых только ожидается.

Большое внимание при этом должно уделяться анализу слабых и сильных сторон, возможным опасностям и перспективам, которые ожидают организацию в будущем.

Такой анализ обязателен при разработке проектов и перспективных планов развития организации, широко используется при планировании и называется SWOT-анализом — по начальным буквам его основных составляющих.

Для более четкого представления проблем, с которыми придется, вероятно, столкнуться организации в будущем, необходимо использование аппарата прогнозирования, и прежде всего экспертного прогнозирования. Полезна разработка наиболее вероятных сценариев развития организации, а также внешних и внутренних условий ее функционирования.

Проблемы, возникновение которых ожидается, целесообразно проранжировать по важности, обращая внимание в первую очередь на наиболее важные из них, которые могут оказать существенное влияние на функционирование организации.

К числу внешних могут быть отнесены проблемы, возника­ющие в связи с развитием международного сотрудничества, с изменением ситуации на рынке ценных бумаг, инвестицион­ной и налоговой политики государства, с введением новых та­моженных пошлин, появлением новых технологий изготовле­ния продукции или с резким изменением ситуации на рынках сбыта, которые необходимо предвидеть и максимально адап­тироваться к ним.

К числу внутренних могут быть отнесены проблемы обес­печения функциональных подразделений предприятия необ­ходимыми ресурсами, желательного уровня рентабельности производства, организации эффективного взаимодействия функциональных подразделений для решения стоящих перед предприятием задач и т. д.

Выявление проблем предполагает тщательный анализ теку­щей деятельности организации. Этот анализ может проводить­ся как пассивными, так и активными методами.

К числу пассивных могут быть отнесены методы, связан­ные с анализом поступающей в организацию информации или информации, непосредственно относящейся к области функ­ционирования организации и полученной из внешних источ­ников, в частности из специальных аналитических обзоров прессы, банков данных и т. д.

К числу активных методов выявления проблем относятся прежде всего методы, связанные с использованием опыта и знаний экспертов, специально собранной информации, целе­направленно проведенного исследования.

Выявленные проблемы, так же как и на этапе прогнозирова­ния, должны быть проранжированы по важности. Из них долж­ны быть отобраны те, которые представляют наибольшую опасность либо открывают принципиально новые возможности для развития организации.

После того как проблема выявлена, она должна быть диаг­ностирована с целью определения ее характера и специфики.

Целесообразно создание банков данных, в которых выяв­ленные проблемы могут быть зарегистрированы. В таких бан­ках данных может храниться также информация о решениях, принятых в связи с возникшими проблемами, об исполните­лях, которым поручен определенный объем работ, о ходе реа­лизации принятых решений.

Далее необходимо детально обсудить диагностику проблем, их систематизацию и классификацию, выработку альтернативных вариантов решений, выбор наиболее предпочтительного из них, реализацию и контроль за реализацией решений Приведем экономико-математическую модель выбора первоочередных (приоритетных) проблем, стоящих перед организацией, для их первоочередного решения, построенную с использованием методов смешанного (линейного и целочисленного) программирования.

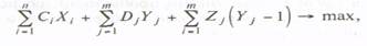
Поскольку один из основных аспектов управления организацией — распределение ресурсов, а определение первоочередности решения проблем, стоящих перед организацией, и есть по существу, задача рационального распределения ресурсов, то модель определения первоочередных проблем целесообразно рассматривать как модель оптимального распределения ресурсов, исходя из сравнительной экономической эффективности заказов и проблем, соответственно выполняемых или решаемых организацией[15].

Пусть имеется перечень из п (n = 1,..., n) заказов, которые организация может выполнить в рассматриваемый промежуток времени, и т (m = 1,..., т) проблем, которые возникают в тот же период и требуют своего решения.

Ожидаемая прибыль при выполнении заказа i равна Ci При решении проблемы j может быть получена дополнительная прибыль Dj, (если дополнительной прибыли при peшении этой проблемы нет, то Dj = 0). Если же эта проблема нерешена, то организация понесет потери — Zj.

Обозначим через Xi переменную, соответствующую заказу номером i и принимающую значения от Xi min до Xi max — от минимально возможного уровня обеспечения заказа i ресурсом до максимально возможного.

Суммарный ресурс вида k обозначим через Rk через Ri,k количество ресурса вида k, необходимое для выполнения заказа i, а через Rj,k количество ресурса вида k, необходимое для решения проблемы j.

Тогда задача оптимального распределения ресурсов для организации формулируется следующим образом:

(6.1.)

при ограничениях

(6.2.)

(6.3.)

Yj =1, если проблема j решена организацией,

Yj =0 — в противном случае.

Можно непосредственно убедиться в том, что сформулиро­ванная выше экономико-математическая модель содержит за­дачу определения как первоочередных заказов для выполне­ния, так и первоочередных проблем, стоящих перед организа­цией в связи с их решением.

Чтобы получить первую из упомянутых задач, достаточно положить значения переменных Yj = 0, j = 1,..., т. А чтобы получить вторую задачу — достаточно положить значения пе­ременных Хi= 0, i = 1,..., п.

Решение первой из задач позволит нам определить перво­очередные заказы, которые целесообразно выполнить органи­зации, если предполагается, что решение возникающих проб­лем не решается за счет этих же ресурсов.

Решение второй задачи позволит определить первоочеред­ные проблемы, которые надо решить организации, если эти же ресурсы не могут потребоваться для выполнения заказов.

Решение же полной задачи, сформулированной выше, поз­волит определить заказы, которые необходимо выполнять в первую очередь при наличии стоящих перед организацией проблем, и проблемы, которые необходимо выполнять в пер­вую очередь при наличии у организации потока заказов.

Таким образом, только полная задача, соответствующая формулированной выше экономико-математической модели, позволит дать ответ на вопрос, какие заказы и какие пробле­мы необходимо решать в первую очередь при имеющихся в распоряжении руководителя организации ресурсах.

Мы не будем останавливаться на методах решения сформулированной выше задачи. Желающие ознакомиться с ними могут найти их в любом учебнике, в котором излагаются методы решения задач математического программирования.

В частности, методы решения задач такого типа хорошо представлены в учебнике по методам принятия решений[16],который используется Ассоциацией присяжных дипломированных бухгалтеров Великобритании.

Литература

1. Литвак Б. Г. Разработка управленческого решения: Учебник. – 4-е изд., испр.- М.: Дело. 2003.

Дополнительная литература

1.. Балабанов И. Т. Риск-менеджмент. М.: Финансы и статистика, 1996.

2. Виханский О. С, Наумов А.И. Менеджмент. М.: Фирма Гардарика, 1996.

3. Короткое Э. М. Концепция менеджмента. М.: ДеКа, 1996.

4. Короткое Э. М. Программа по курсу "Разработка управленческого решения". М.: ИМПЭ, 1995.

5. Морз Ф. М., Кимбелл Дж. Е. Методы исследования операций М.: Сов. радио, 1956.

6. Ларичев О. И. Наука и искусство принятия решений. М.: Наука, 1979.

7. Литвак Б. Г. Экспертные оценки и принятие решений. М.: Патент, 1996.

8. Мескон М. Х. Альберт М., Хедоури Ф. Основы менеджмента. М.: Дело, 1998.

9. Румянцева 3. П., Саломатин И. А., Акбердин Р. 3. и др. Менеджмент организации: Учеб. пособие. М.: Инфра-М.. 1997.

10. Рейльян Я. Р. Аналитическая основа принятия управленческих решений. М.: Финансы и статистика, 1989.

11. Франчук В. И. Основы современной теории организации. M.: Академия организационных наук, 1995.

12. Ховард К., Короткое Э. Принципы менеджмента: Управление в системе цивилизованного предпринимательства. М.: Инфра-М, 1991

13. Цыгичко В. И. Руководителю о принятии решений. М.: Инфра- М. 1996.

14. Шапиро В. Д. и др. Управление проектами. СПб.: ДваТрИ, 1991

15. Эддоус М., Стэнсфилд Р. Методы принятия решений. М.: Аудит, ЮНИТИ, 1997.

Контрольные вопросы

1. Какова роль управленческого решения в управлении организацией?

2. Что определяет организация в деятельности человека?

3. По каким принципам и признакам классифицируются организации?

4. Как подразделяются организации по характеру деятельности?

5. Приведите определения организации.

6. Назовите неотъемлемые составляющие любой организации.

7. Какова роль менеджмента в современной организации?

8. Чем различаются профессиональный и непрофессиональный менеджеры?

9. Что такое модель организации?

10. Приведите примеры моделей организации.

11. Какие типы управления организацией встречаются?

\12. Можно ли доверить принятие управленческого решения ком­пьютеру?

13. Как используются современные технологии при разработке управленческого решения?

14. Назовите базовые элементы моделей процесса принятия уп­равленческого решения.

15. Какая модель является адекватной ситуации принятия управ­ленческого решения?

16. Какие виды моделей управленческого процесса вы знаете?

17. Приведите примеры решающих правил. Как они используют­ся в процессе принятия управленческого решения?

18. Назовите основные управленческие функции в организации.

19. Почему такое важное значение придается совершенствова­нию технологий производства продукции и оказания услуг в рыноч­ной экономике?

20. Назовите основные виды деятельности производственных ор­ганизаций.

21. Назовите основные функции управления процессом решения проблем в организации.

22. Приведите примеры внешних и внутренних проблем органи­зации.

23. Охарактеризуйте активные и пассивные методы анализа дея­тельности организации.

24. Дайте содержательную постановку задачи оптимального рас­пределения ресурсов.

25. Сформулируйте экономико-математическую модель опти­мального распределения ресурсов в организации.

26. Как определить перечень первоочередных заказов, которые должны быть выполнены, и первоочередных проблем, которые долж­ны быть решены организацией?


[1] Короткое Э. М. Концепция менеджмента. М.: ДеКа, 1996.

[2] Франчук В. И. Основы современной теории организации. M.: Академия организационных наук, 1995

[3] Виханский О. С, Наумов А.И. Менеджмент. М.: Фирма Гардарика, 1996.,

Короткое Э. М. Концепция менеджмента. М.: ДеКа, 1996.

[4] Короткое Э. М. Программа по курсу "Разработка управленческого решения". М.: ИМПЭ, 1995.

[5] Ховард К., Короткое Э. Принципы менеджмента: Управление в системе цивилизованного предпринимательства. М.: Инфра-М, 1991

[6] Ларичев О. И. Наука и искусство принятия решений. М.: Наука, 1979.

[7] Ховард К., Короткое Э. Принципы менеджмента: Управление в системе цивилизованного предпринимательства. М.: Инфра-М, 1991

[8] Мескон М. Х. Альберт М., Хедоури Ф. Основы менеджмента. М.: Дело, 1998.

[9] Франчук В. И. Основы современной теории организации. M.: Академия организационных наук, 1995.

[10] Рейльян Я. Р. Аналитическая основа принятия управленческих решений. М.: Финансы и статистика, 1989.

[11] Рейльян Я. Р. Аналитическая основа принятия управленческих решений. М.: Финансы и статистика, 1989.

[12] Литвак Б. Г. Экспертные оценки и принятие решений. М.: Патент, 1996,

Рейльян Я. Р. Аналитическая основа принятия управленческих решений. М.: Финансы и статистика, 1989.

[13] Виханский О. С, Наумов А.И. Менеджмент. М.: Фирма Гардарика, 1996.

[14] Виханский О. С, Наумов А.И. Менеджмент. М.: Фирма Гардарика, 1996.

[15] Франчук В. И. Основы современной теории организации. M.: Академия организационных наук, 1995.

[16] Эддоус М., Стэнсфилд Р. Методы принятия решений. М.: Аудит, ЮНИТИ, 1997.





Подборка статей по вашей теме: