Чтобы такая система находилась в равновесии необходимо и достаточно, чтобы равнялись нулю главный вектор и главный момент системы:
= 0
= 0
Они могут быть нулями, если каждое из слагаемых в подкоренном выражении равно нулю. Заменим проекции равнодействующей на оси на суммы проекций составляющих на те же координатные оси (по соответствующей теореме о проекции равнодействующей).
К заданию №4. Эта задача на тему «Пространственная система сил». При ее изучении необходимо вспомнить: какая сила может образовать вращательный момент относительно оси, а какая – нет. Рассмотрим ось Z. Проведем направление некоторой силы F1 относительно этой оси. Точно определить направление силы по рисунку на плоскости мы не можем, но, зная ее проекцию на перпендикулярную плоскость, определим значение Мz(F1) = Flnd1. Знак момента такой же, как и при определении момента пары сил. (Если проекция на перпендикулярную плоскость стремится вращать плоскость, к которой проложена против часовой стрелки, то знак момента (+), если по часовой стрелке, то (-). Рассмотрим рисунок 1. Если сила параллельна оси, лежит на оси или пересекает ее под любым углом, то вращательного момента относительно этой она не образует.
|
|
|
|
Мz(F1) =O
Mz (F2) =O
Mz (F3) =O
Задача №4 решается по шести уравнениям равновесия:

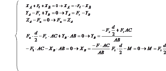
Рассмотрим аналогичную №4 задачу. Определить реакции подшипников в точках А и В.
Решение:
Подшипники имеют по две взаимно перпендикулярные реакции по осям координат Ха, Yа и Хв, Yв. Изобразим эти реакции на рисунке пространственно нагруженного вала. Полученная система представляет собой пространственную систему произвольно расположенных сил. Составим и решим указанные выше шесть равновесия, а для этого проведем три оси координат через точку А, спроецируем все силы на эти оси. необходимо помнить, что если сила и ось перекрещиваются в пространстве, то проецироваться на эту ось сила не может:


Решим эти уравнения, найдем реакции подшипников и момент на валу М, определим полные реакции подшипников по теореме Пифагора:







