неподвижной оси z _________________________________________________________________________________________
Скалярная величина Liz,равная проекции на эту ось вектора момента импульса, определенного относительно произвольной точки О данной оси г.
Значение момента импульса Lu не зависит от положения точки О на оси г.
Момент импульса отдельной точки вращающегося абсолютно твердого тела _____________________________________
При вращении абсолютно твердого тела вокруг неподвижной оси г каждая отдельная точка тела движется по окружности постоянного радиуса г, с некоторой скоростью vr Скорость vt и импульс mjvi перпендикулярны этому радиусу, т. е. радиус — плечо вектора mfir Тогда момент импульса отдельной частицы Ljz = mjvjrj и направлен по оси в сторону, определяемую правилом правого винта.
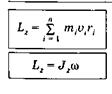
Момент импульса абсолютно твердого тела относительно неподвижной оси z ____________________________________
Сумма моментов импульса отдельных его частиц относительно той же оси.
Равен произведению момента инерции тела относительно той же оси на угловую скорость.
|
|
|
(учли, что
).
[ J2 — момент инерции тела относительно оси z; ω — угловая скорость]






