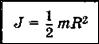
Момент инерции однородного сплошного цилиндра радиуса R относительно его геометрической оси __
Разобьем цилиндр на отдельные полые концентрические цилиндры бесконечно малой толщины dr с внутренним радиусом rи внешним (r+ dr). Момент инерции каждого полого цилиндра dJ = r 2 dm (dr << r), объем элементарного цилиндра 2πrh· dr, его масса dm = 2πrhp· dr и dJ = 2πhpr3· dr (p — плотность материала). Момент инерции сплошного цилиндра
. 
Поскольку πR2h - объем цилиндра, его масса т = π R2hp, а
.






