| Виды продукции | Количество (штук) | Цена за 1 штуку (рублей) | Стоимость продукции (рублей) | ||||
| | | | | | | |
| А | |||||||
| Б | |||||||
| В | |||||||
| Итого: | - | - | - | - |
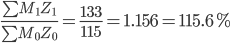
В рассматриваемом примере мы исчислим аналитические индексы, где в качестве индексируемого признака берется объем выпускаемой продукции, а в качестве весового признака — цена за единицу продукции. На основе данных, приведенных в таблице, рассчитаем общий индекс объема продукции:

На полученный нами результат оказали влияние два фактора:
§ изменение количества продукции;
§ изменение цен на продукцию.
Следует отдельно определить:
§ индекс изменения количества (объема) продукции при условии ее оценки в одинаковых ценах;
§ индекс изменения цен на продукцию при условии ее одинакового объема.
Вначале найдем индекс изменения количества продукции:

Затем определим индекс изменения цен на продукцию:

В рассматриваемом примере индекс изменения количества показывает увеличение объема продукции на
или на 8 рублей, то есть (123 — 115). Индекс изменения цен свидетельствует о повышении цен на продукцию на
, что составляет 10 рублей, то есть (133 — 123).
|
|
|
Если сложить влияние индексов получим общий индекс объема продукции — 18 рублей.
С помощью индексов можно сравнивать данные за ряд лет, например, путем расчетов темпов роста продукции в сопоставимых ценах.
В условиях анализа динамики показателей следует различать понятия цепного и базисного индексов. Базисным называется индекс, рассчитанный по отношению к базисному периоду. Цепным называется индекс, рассчитанный по отношению к предыдущему периоду.