Способы построения индексов зависят от содержания изучаемого явления, методологии расчета исходных статистических показателей и целей исследования. В каждом индексе выделяют 3 элемента:
В каждом индексе выделяют 3 элемента:
§ индексируемый показатель — это показатель, соотношение уровней которого характеризует индекс
§ сравниваемый уровень — это тот уровень, который сравнивают с другим.
§ базисный уровень — это тот уровень, с которым производится сравнение.
Для расчета индекса необходимо найти отношение сравниваемого уровня к базисному и выразить его в виде коэффициента, если база сравнения приравнивается к единице, или в процентах, если база сравнения принимается за 100%. Обычно расчеты индексов производятся в форме коэффициентов с точностью до третьего знака после запятой, т. е. до 0,001, в форме процентов — до десятых долей процента, т.е. до 0,1%.
Для удобства построения индексов используется специальная символика:
§ i — символ индексируемого показателя — индекс, характеризующий изменение уровня элемента явления.
§ I — с подстрочным индексируемым показателем — для группы элементов или всей совокупности в целом.
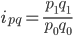
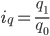
§ q — количество проданных товаров или произведенной продукции в натуральном выражении
§ p — цена за единицу товара
§ z — себестоимость единицы продукции
§ w — производительность труда
§ T — отработанное время или численность работников
§ l — средняя заработная плата одного работника
§ 0 — базисный период
§ 1 — отчетный период
| Исходные данные | Расчетные данные | |||||||||
| Товары | Базисный период | Отчетный период | Товарооборот млн.руб | Индивидуальные индексы | ||||||
| Про-дано т.шт | Цена за 1 шт. т.руб | Про-дано т.шт | Цена за 1 шт. т.руб | Базисный период | Отчетный период | Отчетный период по ценам базисного периода | Физ. объема т-ооборота | Цен | Товаро-оборота | |
| А | 5=1*2 | 6=3*4 | 7=3*2 | 8=3:1 | 9=4:2 | 10=6:5 | ||||
| q0 | p0 | q1 | p1 | q0 * p0 | q1 * p1 | q1 * p0 | | | | |
| Телевизоры | 3,3 | 0,9 | 1,1 | 0,99 | ||||||
| Видео-магнито-фоны | 1,8 | 1,250 | 0,9 | 1,125 | ||||||
| Итого | х | х | х | х | 0,9875 | 1,037 | 1,024 |
Индивидуальные индексы характеризуют изменение отдельного элемента явления.






