Перестановочная модель описывает множество структур технологического процесса, отличающихся количеством и (или) составом элементов структуры при изменении отношения порядка.
Отношения порядка в этих моделях задаются с помощью графа, содержащего ориентированные циклы.

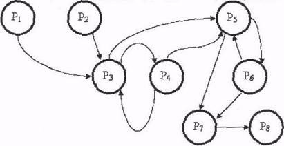
Рис. 6.5. Граф, отображающий расцеховку при изготовлении изделия
Пример. Расцеховка при изготовлении изделия (рис.6.5).
На рис.6.5 через Р1, Р2,… Р8 обозначены цеха: Р1 - литейный; Р2 - кузнечный; Р3- механический; Р4- термический; Р5 -механосборочный; Р6 - общей сборки; Р7- испытательный; Р8 - упаковочный.
Сетевые и перестановочные модели используют для получения типовых, групповых и индивидуальных технологических
процессов. Наличие в них вариантов позволяет производить оптимизацию технологических процессов.
Характерным примерами функциональных моделей являются математические модели, используемые при расчете и
оптимизации режимов резания.






