Ряды Тейлора и Маклорена

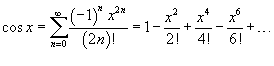
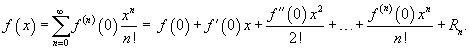
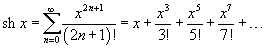
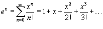
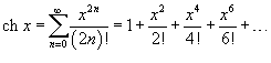
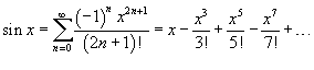
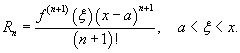
Если функция f (x) имеет непрерывные производные вплоть до (n+ 1)-го порядка, то ее можно разложить в степенной ряд по формуле Тейлора: где Rnостаточный член в форме Лагранжа определяется выражением Если приведенное разложение сходится в некотором интервале x, т.е. , то оно называется рядом Тейлора, представляющим разложение функции f (x) в точке a. Если a = 0, то такое разложение называется рядом Маклорена: Разложение некоторых функций в ряд Маклорена · · · · ·
Пример 1
 
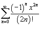
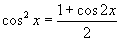
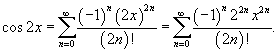
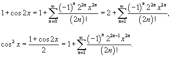
Найти ряд Маклорена для функции . Решение. Воспользуемся тригонометрическим равенством . Поскольку ряд Маклорена для cos x имеет вид , то можно записать Отсюда следует:
Пример 2
 
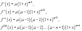
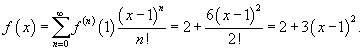
Разложить в ряд Тейлора функцию в точке x = 1. Решение. Вычислим производные: Видно, что для всех n ≥ 3. Для x = 1 получаем значения: Следовательно, разложение в ряд Тейлора имеет вид
Пример 3
 
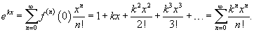
Найти разложение в ряд Маклорена функции e kx, kдействительное число. Решение. Вычислим производные: Тогда в точке x = 0 получаем Следовательно, разложение данной функции в ряд Маклорена выражается формулой
Пример 4
 
Найти разложение в ряд Тейлора кубической функции x 3 в точке x = 2. Решение. Обозначим . Тогда и далее для всех x ≥ 4. В точке x = 2, соответственно, получаем Таким образом, разложение в ряд Тейлора имеет вид
Пример 5
 
Найти разложение в ряд Маклорена функции . Решение. Пусть , где μдействительное число, и x ≠ − 1. Производные будут равны При x = 0, соответственно, получаем Следовательно, разложение в ряд записывается в виде Полученное выражение называется биномиальным рядом.
Пример 6
 
Найти разложение в ряд Маклорена функции . Решение. Используя формулу биномиального ряда, найденную в предыдущем примере, и подставляя , получаем




Подборка статей по вашей теме: