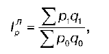
Рассмотрим агрегатную форму общего индекса цены. Первоначально эти индексы строились по формулам, предложенным учеными Г. Дюто и П. Карли. Однако эти формулы обладали рядом недостатков, поэтому позднее были предложены другие формулы, например формула Ласпейраса:

где р – индексируемая величина (цена);
q – количество проданных товаров в натуральном выражении (веса).
В настоящее время именно эта формула используется при изучении динамики цен. Этот индекс характеризует изменение цен в среднем по совокупности товаров в отчетном периоде по сравнению с базисным.
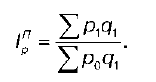
Общий индекс цены можно также определить по формуле Пааше:

Эта формула длительное время использовалась в СССР при изучении динамики цен. Но с переходом к рыночной экономике стала существенно изменяться структура потребительских расходов населения, т. е. на динамику цен существенное влияние стало оказывать изменение параметра q.






