Основной недостаток абсолютных показателей заключается в том, что они не позволяют сопоставлять между собой средние отклонения различных показателей. Для сопоставления необходимы относительные показатели, характеризующие относительную колеблемость. К ним относятся:
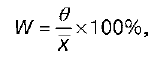
1) коэффициент вариации. Рассчитывается как процентное отношение среднего квадратического отклонения к средней арифметической величине:

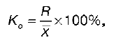
2) коэффициент колеблемости. Рассчитывается как процентное отношение среднего абсолютного (линейного) отклонения к средней арифметической величине:

3) коэффициент асциляции. Рассчитывается как отношение вариационного размаха к средней арифметической величине:

С помощью относительных показателей вариации решаются следующие задачи:
1) сравнение степени вариации в процентах различных признаков в одной и той же совокупности;
2) сравнение степени вариации одного и того же признака в различных совокупностях.
Правило или теорему сложения дисперсий сформулировал и доказал В. Лексис. В связи с тем что некоторые совокупности делятся на группы, помимо общей дисперсии, могут быть рассчитаны также дисперсии для каждой отдельной группы. Кроме этого, можно рассчитать среднюю из групповых дисперсий и межгрупповую дисперсию. В. Лексис доказал, что между данными показателями существует связь.
Теорема. Если совокупность состоит из нескольких групп, то общая дисперсия равна сумме внутри‑групповой и межгрупповой дисперсий:

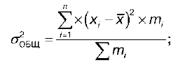
где σобщ – общая дисперсия:

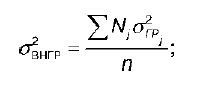
σвнгр – внутригрупповая дисперсия:

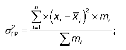
σгр – групповая дисперсия:

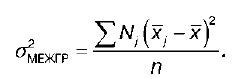
σмегр – межгрупповая дисперсия:

Если межгрупповая дисперсия равна нулю, то общая дисперсия равна средней из групповых дисперсий.
С помощью теоремы сложения дисперсий решаются следующие задачи:
1) исследование зависимостей между признаками;
2) оценка тесноты связи между признаками;
3) оценка точности типичной выборки.