Средняя арифметическая форма общего индекса является преобразованием от агрегатной формы.

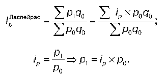
Средняя арифметическая форма общего индекса качественных показателей (на примере показателя цены) по схеме Ласпейраса:
Данную формулу удобнее использовать при расчетах, потому что для расчета можно использовать индивидуальный индекс цены i p и произведение p 0 q 0.
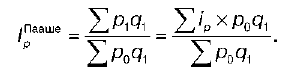
Средняя арифметическая форма общего индекса качественных показателей (цены) по схеме Пааше:

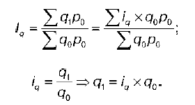
Средняя арифметическая форма общего индекса количественных показателей (на примере физического объема товарооборота):

Средняя гармоническая форма общих индексов также является преобразованием агрегатной формы.
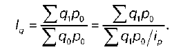
Средняя гармоническая форма общего индекса качественных показателей (на примере показателя цены) по схеме Ласпейраса:

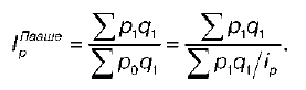
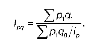
Однако эта формула неудобна на практике. Поэтому при расчетах используется средняя гармоническая форма общего индекса качественных показателей (цены) по схеме Пааше:

Средняя гармоническая форма общего индекса количественных показателей:

Индексы количественно‑качественных показателей используют в агрегатной форме, но они могут быть преобразованы в средние формы, называемые неявными.
Например, средняя арифметическая форма индекса товарооборота:

Средняя геометрическая форма индекса товарооборота:
