Индексы качественных показателей – индексы средней арифметической величины, поэтому изменение среднего уровня качественного показателя зависит от изменения:
1) отдельных уровней показателей;
2) частей совокупности или структуры совокупности. Для определения того, в какой мере происходит изменение среднего уровня и каково влияние каждого фактора, используют систему взаимосвязанных индексов.
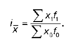
Индекс переменного состава – это отношение среднего уровня какого‑либо показателя в отчетном периоде к среднему уровню его в базисном периоде:

Эту формулу используют, если веса (часть совокупности) – абсолютные показатели. Если же веса – относительные показатели (доля, удельный вес), то формула индекса переменного состава такова:

Он показывает, в какой мере произошло изменение среднего уровня показателя за счет влияния:
1) изменения индексируемого показателя (х);
2) изменения частей совокупности (m) или доли (удельного веса – f).
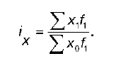
Индекс постоянного состава позволяет устранить влияние одного из факторов и оценить степень влияния другого фактора.
Общий вид формулы индекса постоянного состава:

или если веса – относительные показатели, то;

Индекс постоянного состава показывает изменение в среднем уровня какого‑либо показателя х за счет изменения усредняемых уровней показателя. Таким способом устраняется влияние второго фактора и показывается, в какой степени изменение х влияет на изменение x.
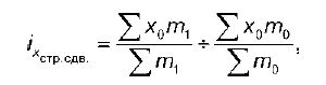
Индекс структурных сдвигов позволяет оценить степень влияния m или f, при условии элиминирования влияния другого фактора, т. е.

или, если веса – относительные показатели, то:

Индекс структурных сдвигов показывает, в какой мере влияет изменение состава или структуры совокупности на изменение среднего уровня, тем самым отвечая на вопрос, как изменяется средний уровень за счет m (или f).
Формула индекса переменного состава может быть конкретизирована к той или иной задаче. Например, индекс цен структурных сдвигов:

Между рассмотренными индексами существует взаимосвязь: индекс переменного состава равен произведению индексов постоянного состава и структурных сдвигов.