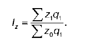
Общий индекс качественных показателей в агрегатной форме взвешивается по весам отчетного периода. Например, общий индекс себестоимости в агрегатной форме:

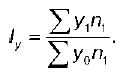
Общий индекс урожайности в агрегатной форме:

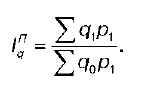
Агрегатная форма общих индексов количественных показателей. Рассмотрим агрегатную форму общего индекса физического объема товарооборота (q). Iq может быть построен по формуле Ласпейраса, которая является основной:

Данный индекс характеризует изменение физического объема товарооборота в среднем по совокупности товаров. Возможно также построение Iq по формуле Пааше:

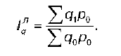
Правило взвешивания общего индекса количественных показателей. Данные индексы взвешиваются по весам базисного периода.
Например, общий индекс посевной площади в агрегатной форме:







