Динамический ряд – это ряд чисел, характеризующих изменение явления во времени.
Элементы динамического ряда:
1) время (период времени) – интервал или момент (хронологическая дата);
2) уровень ряда, т. е. показатель количества значе ний за периоды времени или какой‑либо даты. Уровни ряда обозначаются как у0, у1, …, уn. Разли чают крайние уровни ряда (первый и последний) и промежуточные уровни.
Динамические ряды классифицируются по различным признакам в зависимости от способов получения.
Первичные динамические ряды – это ряды, в которых уровни представлены исходными цифровыми данными, полученными в результате статистического наблюдения. Первичные ряды всегда являются количественными (объем продукции за каждый год).
Вторичные (производные) динамические ряды – это ряды, в которых уровни представлены в виде производных величин (средних или относительных показателей), например динамический ряд показателя средней урожайности.
В зависимости от признака времени выделяют интервальные и моментные динамические ряды.
Моментный динамический ряд – это ряд, уровни которого фиксируют значение изучаемого показателя на определенный момент времени.
Интервальный динамический ряд – это ряд, уровни которого характеризуют значение показателя за определенный период времени.
Методы вычисления среднего уровня динамического ряда (средней хронологической).
С течением времени уровни динамического ряда изменяются, и возникает необходимость обобщающей характеристики развития явления во времени. Эта задача решается с помощью средней величины – среднего уровня ряда, который называется для динамических рядов средней хронологической. Ее рассчитывают для интервальных и моментных рядов.
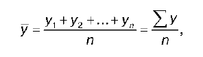
Для интервального ряда средняя хронологическая рассчитывается по формуле:

где n – число уровней динамического ряда.
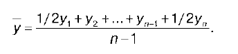
Для моментного ряда средняя хронологическая рассчитывается по формуле:

При изучении динамических рядов выделяют две основные задачи:
1) характеристика структуры ряда;
2) прогнозирование будущих уровней временного ряда на основании прошлых и настоящих уровней.
Данные, представленные в виде динамических рядов, могут содержать два вида компонентов:
1) систематическая составляющая;
2) случайная составляющая.
Систематическая составляющая – это результат воздействия постоянно действующих факторов.
Выделяют три основных систематических компоненты динамического ряда:
1) тренд (тенденция) – это систематическая линейная или нелинейная компонента, изменяющаяся во времени;
2) сезонность – это периодические колебания уровней временного ряда внутри года;
3) цикличность – это периодические колебания, вы ходящие за рамки одного года. Промежуток времени между двумя соседними вершинами или впадинами в масштабах года считается длиной цикла. Все три систематические составляющие могут одновременно присутствовать в динамическом ряду.






