Товарными запасами называется масса товаров, находящихся на складах производства и в сфере товарного обращения с момента поступления их из производства до момента реализации.
Основными задачами статистики товарных запасов являются:
1) изучение размера и состава товарных запасов по различным признакам;
2) изучение объема, уровня и структуры товарных запасов;
3) изучение обеспеченности товарооборота товарными запасами;
4) анализ состояния и динамики товарных запасов.
Существуют несколько классификаций товарных запасов по различным социально‑экономическим и торгово‑организационным признакам.
В зависимости от регулярности обновления товарной массы выделяют:
1) товарные запасы нормального или текущего хранения, обеспечивающие повседневные потребности торговли;
2) товарные запасы сезонного хранения, создаваемые для организаций торговли по сезонам года;
3) товарные запасы периодически возобновляемые (резервы государства, стратегические запасы).
По признаку соответствия нормативу выделяют:
|
|
|
1) товарные запасы, соответствующие нормативу;
2) товарные запасы, не соответствующие нормативу.
В зависимости от спроса выделяют:
1) товарные запасы, пользующиеся спросом;
2) неходовые и залежалые товарные запасы.
К основным показателям статистики товарных запасов относятся:
1) показатель средних товарных запасов за месяц:

где З Н, 3 К – запасы на начало и конец месяца;
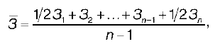
2) показатель средних товарных запасов за период времени более месяца:

где n – число дат или уровней;
3) показатель запасоемкости: 
где З – запасы на конец периода (или на начало следующего периода);
Т – товарооборот этого периода;
4) показатель обеспеченности товарооборота товарными запасами:
L = 3 / t,
где t – однодневный (среднедневной) товарооборот данного (предшествующего) периода:
t = T / D,
где D – количество дней в периоде. Скоростью товарооборота считается время, в течение которого реализуется количество товаров, соответствующее средней величине товарного запаса. К показателям скорости товарооборота относятся:
1) коэффициент оборачиваемости: 
где Т – объем товарооборота;
3 – средняя величина товарных запасов;
2) продолжительность одного оборота в днях торгов ли или время обращения:
B = D / n,
где D – число календарных дней в периоде; n – коэффициент оборачиваемости.