Товарооборотом называется объем продаж товаров в стоимостном выражении во всех звеньях в процессе их экономического движения от производителя к конечному потребителю.
Выделяют несколько направлений статистического изучения показателя товарооборота:
1) товарооборот используется как показатель выручки от реализации товаров для оценки результатов деятельности торговой фирмы;
2) товарооборот используется для анализа размера денежных расходов населения на приобретение товаров и для оценки уровня индивидуального потребления в статистике уровня жизни;
3) товарооборот является базой определения расходов домашних хозяйств на конечное потребление при расчете ВВП по направлениям конечного использования в макроэкономической статистике.
Направления изучения структуры товарооборота:
1) по натурально‑вещественному составу (по товарным группам);
2) по экономическому назначению реализуемых товаров;
3) по формам собственности;
4) по территориальной составляющей.
Категории товарооборота:
|
|
|
1) оптовым товарооборотом называется объем продаж товаров крупными партиями производителями и торговыми посредниками другим торговым посредникам для последующей их перепродажи, а также массовым потребителям;
2) розничным товарооборотом называется сумма продаж товаров населению за наличный расчет через различные каналы реализации;
3) валовым товарооборотом называется сумма всех продаж товаров за определенный период времени на пути их движения от производителя к потребителю;
4) чистым товарооборотом называется сумма конечных продаж, в результате которых товар уходит за пределы сферы товарного обращения региона или фирмы.
Объем товарооборота определяется по формуле:
S= Σ pq,
где p – цены товаров; q – количество проданных товаров.
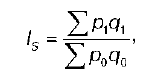
Динамика товарооборота изучается с помощью индексного метода. С этой целью строятся три индекса.
1. Общий индекс товарооборота: 
где р 1, р 0 – цены на товары в отчетном и базисном периодах;
q1, q0 – количество проданного товара в отчетном и базисном периодах.
Данный индекс показывает изменение стоимости совокупности проданных товаров (выручки) в среднем в одном периоде по сравнению с другим.
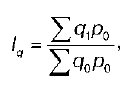
2. Общий индекс физического объема товарооборота: 
где р – сопоставимые цены товаров.
Данный индекс характеризует влияние изменения объема продажи товаров на динамику товарооборота.
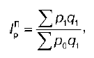
3. Общий индекс товарооборота связан с общим индексом цен: 
где lрП – общий индекс цен по схеме Паше.
Данный индекс отражает влияние изменения цен на динамику товарооборота, т. е. показывает, на сколько в среднем повысились цены по совокупности товаров.