Динамика скорости товарного обращения исследуется с помощью индексного метода.
К индексам, характеризующим динамику скорости товарооборачиваемости одного отдельно взятого товара или однородной товарной группы, относятся:
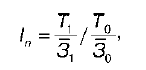
1) индекс числа оборотов:

где Т 1, Т 0 – объем товарооборота в отчетном и базисном периодах;
3 1, 3 0 – средняя величина товарных запасов в отчетном и базисном периодах;
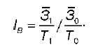
2) индекс времени обращения: 
Оценка изменений показателей скорости и времени обращения по совокупности товаров осуществляется с помощью индексов средней скорости и среднего времени обращения соответственно.
Индекс средней скорости товарооборота (индекс скорости товарооборота переменного состава), показывающий изменение средней скорости обращения товарной группы за счет изменения скорости обращения отдельных товаров и изменения средних товарных запасов по отдельным товарам:

где n 1, n 0 – число оборотов (скорость обращения) по отдельным товарам или товарным группам в отчетном и базисном периодах;
3 1, 3 0 – средняя величина товарных запасов по тем же товарам в отчетном и базисном периодах.
Индекс скорости товарооборота постоянного состава, показывающий влияние изменения скорости обращения по отдельным товарам на изменения средней скорости обращения по группе товаров:

Индекс влияния структурных сдвигов, показывающий, в какой мере изменения в структуре товарных запасов влияют на динамику средней скорости товарооборота:

Индекс среднего времени обращения характеризует изменения среднего времени обращения за счет изменения скорости обращения отдельных товаров:

где В 1, В 0 – время обращения в отчетном периоде;
t 1, t 0 – однодневный товарооборот отчетного и базисного периодов.
Индекс времени обращения постоянного состава, характеризующий влияние изменения времени обращения каждого из анализируемых товаров на изменение среднего времени обращения по группе товаров:

Индекс влияния структурных сдвигов, характеризующий влияние структурных сдвигов в товарообороте на динамику среднего времени обращения:
