Издержками производства и обращения называются затраты предприятия, которые возникают в ходе осуществления производственно‑хозяйственной деятельности. Издержки обращения рассчитывают фирмы, занимающиеся сбытовой, снабженческой, торгово‑посреднической деятельностью.
Себестоимостью продукции (работ, услуг) называется стоимостная оценка используемых в процессе производства продукции (работ, услуг) ресурсов.
При изучении состава издержек производства и обращения используются группировки затрат по различным признакам.
Издержки обращения в соответствии с экономическим содержанием классифицируются следующим образом:
1) материальные затраты;
2) затраты на оплату труда;
3) отчисления на социальные нужды;
4) амортизация основных фондов;
5) прочие затраты.
Издержки обращения по отношению к технологическому процессу классифицируются на:
1) основные расходы, непосредственно связанные с процессом производства продукции;
2) накладные расходы, относящиеся к обслуживанию производства и его управлению.
|
|
|
По способу распределения между видами производимой продукции выделяют:
1) прямые затраты, которые могут быть непосредственно отнесены на конкретные виды продукции (работ, услуг) и распределены между ними;
2) косвенные затраты, связанные с выпуском нескольких видов продукции.
По признаку объема производства выделяют:
1) условно‑переменные затраты, размер которых увеличивается или уменьшается соответственно изменению объема производства;
2) условно‑постоянные затраты, размер которых не находится в непосредственной зависимости от объема выпуска продукции.
По своей экономической природе издержки обращения подразделяются на:
1) чистые издержки, связанные с организацией товарно‑денежного обмена;
2) дополнительные затраты, связанные с продолжением процесса производства в сфере обращения.
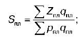
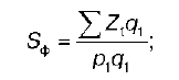
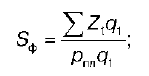
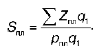
К показателям затрат на рубль товарной продукции относятся:
1) общий уровень затрат на рубль товарной продукции:

где q – физический объем продукции;
Z – себестоимость единицы продукции;
p – цена единицы товара;
2) плановые затраты на рубль товарной продукции:

3) фактические затраты на рубль товарной продукции:

4) фактические затраты на рубль товарной продукции при плановом уровне отпускных цен:

5) затраты на рубль товарной продукции по плану в пересчете на фактический объем и состав продукции:







